Главная >> Алгебра. 8 класс. Макарычев

§ 5. Арифметический квадратный корень

Функция у = √x и её график (окончание)

361. Какой из графиков линейных функций не пересекает графика функции у = √x?

    1. у = -х + 2
    2. у = -х + 0,1

    3. у = -х
    4. у = -х - 0,1

362. Решите графически уравнение:

363. Что больше:

364. Сравните числа:

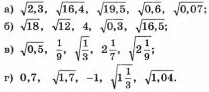
365. Расположите в порядке возрастания числа:

Упражнения для повторения

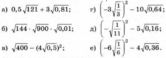
366. Найдите значение выражения:

367. Имеет ли смысл выражение:

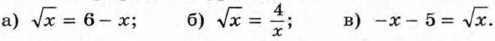
368. Решите уравнения:

Контрольные вопросы и задания

1. Сформулируйте определение арифметического квадратного корня. При каких значениях а выражение √а имеет смысл?

2. Имеет ли уравнение х2 = а корни при а > 0, а = 0, а < 0, и если имеет, то сколько?

3. Покажите на примере, как извлекается квадратный корень с помощью калькулятора.

4. Какова область определения функции у = √х?

5. Как расположен график функции у = √х в координатной плоскости? Пересекает ли этот график прямую у = 25; у = 100; у = 10 000?

Ответы

    366. а) 8,2; 6)36; в) 12; г)-5.

<<< К началу

 

 

???????@Mail.ru