Главная >> Алгебра. 8 класс. Макарычев

§ 7. Применение свойств арифметического квадратного корня

Вынесение множителя за знак корня. Внесение множителя под знак корня

Сравним значения выражений √50 и 6√2. Чтобы решить эту задачу, преобразуем √50. Представим число 50 в виде произведения 25 • 2 и применим теорему о корне из произведения. Получим

Так как 5√2 < 6√2, то √50 < 6√2.

При решении задачи мы заменили √50 произведением чисел 5 и √2. Такое преобразование называют вынесением множителя за знак корня.

Значения выражений √50 и 6√2 можно сравнить иначе, представив произведение 6√2 в виде арифметического квадратного корня. Для этого число 6 заменим √36 и выполним умножение корней.

Получим

    6√2 = √36 • √2 = √72.

Так как 50 < 72, то √50 < √72. Значит,

    √50 < 6√2.

При решении задачи вторым способом мы заменили 6√2 выражением √72. Такое преобразование называют внесением множителя под знак корня.

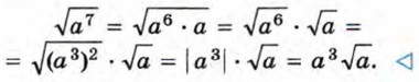
Пример 1. Вынесем множитель за знак корня в выражении √a7.

Выражение √a7 имеет смысл лишь при а ≥ 0, так как если а < 0, то а7 < 0.

Представим подкоренное выражение а7 в виде произведения а6 • а, в котором множитель а6 является степенью с чётным показателем. Тогда

Пример 2. Внесём множитель под знак корня в выражении -4√x.

Отрицательный множитель -4 нельзя представить в виде арифметического квадратного корня, и поэтому множитель -4 нельзя внести под знак корня. Однако выражение -4√х можно преобразовать, внеся под знак корня положительный множитель 4:

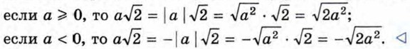
Пример 3. Внесём множитель под знак корня в выражении a√2.

Множитель а может быть любым числом (положительным, нулём или отрицательным). Поэтому рассмотрим два случая:

Упражнения

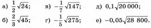
407. Вынесите множитель за знак корня:

408. Вынесите множитель за знак корня и упростите полученное выражение:

409. Вынесите множитель за знак корня:

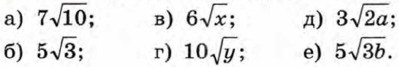
410. Внесите множитель под знак корня:

411. Какое из выражений не имеет смысла?

Окончание >>>

 

 

???????@Mail.ru