Главная >> Алгебра. 8 класс. Макарычев

§ 7. Применение свойств арифметического квадратного корня

Преобразование двойных радикалов (окончание)

Упражнения

444. Освободитесь от внешнего радикала, представив подкоренное выражение в виде квадрата:

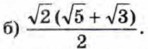
445. Найдите значение выражения:

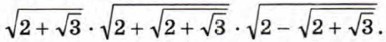
446. Освободитесь от внешнего радикала, пользуясь формулой двойного радикала:

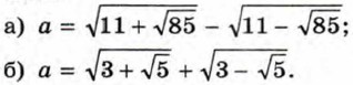
447. Упростите выражение, вычислив предварительно значение а2, если:

448. Является ли рациональным или иррациональным числом значение выражения:

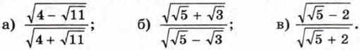
449. Освободитесь от иррациональности в знаменателе дроби:

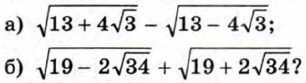
450. Найдите значение выражения:

451. Докажите, что верно равенство:

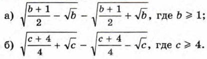
452. Упростите выражение:

453. Освободитесь от внешнего радикала в выражении:

Ответы

444. a) √5 + 1; 6) √7 - 2.

445. а) 3; 6) 5.

446. a) √54 + 1; 8 б) √65 - √21.

447. a) √10; б) √10.

449.

450. 1

452 а) -√2; б) 2.

453. 6)2.

<<< К началу

 

 

???????@Mail.ru