Главная >> Алгебра. 8 класс. Макарычев

§ 6. Свойства арифметического квадратного корня

Дополнительные упражнения к § 6

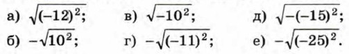
476. Вычислите:

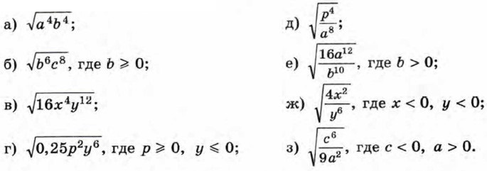
477. Найдите значение корня:

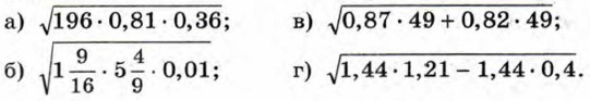
478. Вычислите:

479. Известно, что а < 0 и b < 0. Представьте выражение:

480. Найдите значение выражения (если оно имеет смысл):

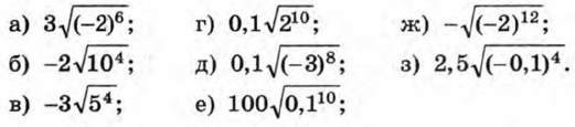
481. Вычислите:

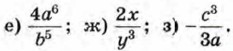
482. Найдите значение выражения:

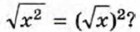
483. При каких значениях x верно равенство

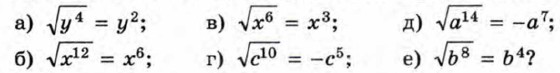
484. При каких значениях переменной верно равенство:

485. Постройте график функции, заданной формулой:

486. Постройте график функции

487. Преобразуйте выражение:

488. (Задача-исследование.) Верно ли, что при любом натуральном n значение выражения является натуральным числом?

    1) Выберите произвольное значение п и проверьте, является ли натуральным числом соответствующее значение корня.
    2) Подумайте, как удобно сгруппировать множители в произведении n (n + 1)(n + 2) (n + 3), чтобы представить подкоренное выражение в виде квадрата.
    3) Выполните преобразования и дайте ответ на вопрос задачи.

489. Упростите выражение:

Ответы

    476. в) 9,1; г) 1,08.

    477. а) 8,5;

    478. а) 45; б) 0,9; в) 100; г) 0,04.

    481. г) 3,2; д) 8,1; е) 0,001; ж) -64; з) 0,025.

    487. г) -0,5ру3;

 

 

???????@Mail.ru