Главная >> Алгебра. 8 класс. Макарычев

§ 7. Применение свойств арифметического квадратного корня

Дополнительные упражнения к § 7: Ответы

505. Освободитесь от иррациональности в знаменателе дроби:

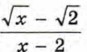
506. Освободитесь от иррациональности в числителе дроби:

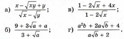
507. Освободитесь от иррациональности в знаменателе дроби:

508. При каком значении х дробь принимает наибольшее значение?

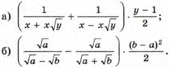
509. Упростите выражение:

510. Упростите выражение:

511. Докажите, что значение выражения

при 0 ≤ b ≤ 49 не зависит от b.

Ответы

    490. а) |а|√15; б) 21x2√3; в) 0,5х√6x; г) 3а2√а; д)3a|a|√2b; e)-4m3√3a.

    493. б) х + √ху; г) m√n - n√m; е) 3a - √ab - 2b; з) 6x-5x√2.

    494. в) m√m - n√n; г) x3 + y√y.

    497. в) 2;

    501. 2.

    502.

    503.

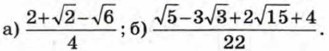
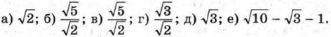
    505.

    506.

    507.

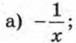
    508. При х = 0.

    509. а) -√10; б) 5√15; в) √3; г) 3.5√6.

    510. б) √ab(a - b).

<<< К началу

 

 

???????@Mail.ru