Главная >> Алгебра. 8 класс. Макарычев

§ 8. Квадратное уравнение и его корни

Теорема Виета: Ответы

591. Разность квадратов корней квадратного уравнения х2 + 2х + q = 0 равна 12. Найдите q.

592. Известно, что сумма квадратов корней уравнения х2 - 3х + а = 0 равна 65. Найдите а.

593. (Для работы в парах.) Не решая уравнения, выясните, имеет ли оно корни, и если имеет, то определите их знаки:

    а) х2 + 7х - 1 = 0;
    б) х2 - 7х + 1 = 0;
    в) 5х2 + 17х + 16 = 0;

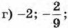
    г) 19х2 - 23х + 5 = 0;
    д) 2х2 + 5√3х + 11 = 0;
    е) 11х2 - 9х + 7 - 5√2 = 0.

    1) Сформулируйте теорему, на основании которой можно определить знаки корней.
    2) Распределите, кто выполняет задания а), в), д), а кто — задания б), г), е), и выполните их.
    3) Проверьте друг у друга, правильно ли выполнены задания. Исправьте ошибки, если они допущены.

594. Докажите, что уравнение не может иметь корни одинаковых знаков:

    а) 3х2 + 113х - 7 = 0; б) 5х2 - 291х - 16 = 0.

595. (Для работы в парах.) Уравнение х2 + 5х + m = 0 имеет корни x1 и х2. Найдите, при каком значении m:

      а) сумма квадратов корней равна 35;
      б) сумма кубов корней равна 40.

    1) Обсудите подходы к выполнению задания а) и задания б).
    2) Распределите, кто выполняет задание а), а кто — задание б), и выполните их.
    3) Проверьте друг у друга правильность полученных ответов. Исправьте замеченные ошибки.

Упражнения для повторения

596. При каких значениях х верно равенство:

    а) (3х +1)2 = 3х + 1;
    б) (3х + 1)2 = 3(х + 1);
    в) (3х +1)2 = (2х - 5)2;

    г) (3х + 4)2 = 4(х + 3);
    д) 4(х + 3)2 = (2х + 6)2;
    е) (6х + 3)2 = (х - 4)2?

597. Катеты прямоугольного треугольника относятся как 8 : 15, а гипотенуза равна 6,8 м. Найдите площадь треугольника.

598. Отношение гипотенузы прямоугольного треугольника к одному другой катет равен 15 см. Найдите периметр треугольника.

599. Найдите стороны прямоугольника, если известно, что одна из них на 14 см больше другой, а диагональ прямоугольника равна 34 см.

Контрольные вопросы и задания

1. Что называют дискриминантом квадратного уравнения? Сколько корней может иметь квадратное уравнение?

2. Напишите формулу корней квадратного уравнения.

3. Напишите формулу корней квадратного уравнения, в котором второй коэффициент является чётным числом.

4. Сформулируйте и докажите теорему Виета. Чему равны сумма и произведение корней квадратного уравнения ах2 + bх + с = 0? Сформулируйте и докажите теорему, обратную теореме Виета.

Ответы

    585. -5; р = -2.

    586.0,5; q = 6,25.

    587. 0,6; b = -43.

    588. -2; с = -106.

    589. 35.

    590. -8,75.

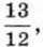
    592. -28

    596. в) -6; 0,8; д) при любом х;

    597. 9,6 м2.

    598. 90 см.

    599. 16 см и 30 см.

<<< К началу

 

 

???????@Mail.ru