Главная >> Алгебра. 8 класс. Макарычев

§ 9. Дробные рациональные уравнения

Решение задач с помощью рациональных уравнений: Ответы

Упражнения для повторения

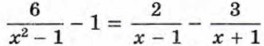
636. Докажите, что:

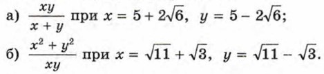
637. Найдите значение выражения:

638. Найдите значение q, при котором разность корней уравнения X2 - 10x + q = 0 равна 6.

639. Составьте квадратное уравнение, зная его корни:

Контрольные вопросы и задания

1. Приведите пример целого уравнения и пример дробного рационального уравнения.

2. На примере уравнения объясните, как решают дробные рациональные уравнения.

Ответы

    617.

    618. 60 км/ч и 40 км/ч.

    619. 12 км/ч и 10 км/ч.

    620. 80 км/ч и 70 км/ч

    621. 80 км/ч.

    622. 30 ц с гектара.

    623. 20 р.

    624. 220 акций.

    625. 7 человек.

    626. 12 человек.

    627. 6 км/ч или 5 км/ч.

    628. 2,5 км/ч.

    629. 2 км/ч.

    630. 500 г.

    631. 60 г.

    632. 15 ч и 10 ч.

    633. 7 ч.

    634. 10 км/ч.

    635. 50 км/ч.

    637. а) 0,1; 6) 3,5.

    638. 16.

<<< К началу

 

 

???????@Mail.ru