Главная >> Алгебра. 8 класс. Макарычев

§ 9. Дробные рациональные уравнения

Уравнения с параметром (продолжение)

Пример 2. Решим уравнение

    ах2 + (а2 - 1)х + (а - 1)2 = 0

с параметром а.

Данное уравнение при а = 0 является линейным, а при а ≠ 0 — квадратным. Рассмотрим каждый из этих случаев.

Если а = 0, то данное уравнение обращается в линейное уравнение -х +1 = 0, которое имеет единственный корень х = 1.

Пусть а ≠ 0. Тогда мы имеем квадратное уравнение

    ах2 + (а2 - 1)x - (а - 1)2 = 0.

Найдём его дискриминант:

    D = (а2 - 1)2 - 4а(а - 1)2 = (а - 1)2((а + 1)2 - 4а) = (а - 1)4.

Так как D ≥ 0 при любом значении а, то это уравнение при любом а имеет корни.

Если а = 1, то D = 0, и это уравнение имеет единственный корень. Найти его можно, подставив в уравнение вместо а число 1. Получим х4 = 0. Отсюда х = 0.

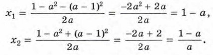
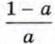
Если а ≠ 1, то D > 0, и уравнение имеет два корня:

Итак, мы нашли, что данное уравнение имеет корень 1 при а = 0, корень 0 при а = 1, корни 1 - а и при а ≠ 0 и а ≠ 1.

Упражнения

640. Какие случаи надо выделить при решении уравнения bх + 2х = 3b + 6 с параметром b? Найдите корни уравнения в каждом из этих случаев.

641. Решите относительно у уравнение:

    а) ру - р - 1 = 0;
    б) ру - 3у - 4р + 12 = 0.

642. Решите уравнение с параметром

    ах - 2х = а3 - 2а2 - 9а + 18.

643 Решите уравнение с параметром b:

    2 - 4х + b = 0.

644. Решите относительно х уравнение:

    а) х2 - 5ах + 4а2 = 0; б) 3х2 - 10аx + 3а2 = 0.

<<< К началу          Ответы >>>

 

 

???????@Mail.ru