Главная >> Алгебра. 8 класс. Макарычев

Дополнительные упражнения к главе III

Дополнительные упражнения к § 8

650. Решите уравнение:

    а) (х + 2)2 + (х - 3)2 = 13;
    б) (3x - 5)2 - (2x + 1)2 = 24;
    в) (x - 4)(x2 + 4x + 16) + 28 = x2(х - 25);
    г) (2x + 1)(4x2 - 2х + 1) - 1 = 1,6x2(5x - 2).

651. Решите относительно х уравнение:

    а) x2 = а;
    б) х2 = а2;

    в) x2 + 4b = 0;
    г) х2 + 9b2 = 0.

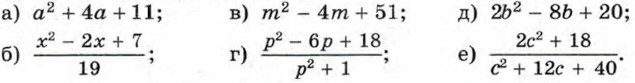
652. Докажите, что при любом значении переменной значение выражения положительно:

653. Используя выделение квадрата двучлена:

    а) докажите, что наименьшим значением выражения х2 - 8х + 27 является число 11;
    б) найдите наименьшее значение выражения а2 - 4а + 20.

654. Решите уравнение:

    а) 4х2 + 7х + 3 = 0;
    б) х2 + х - 56 = 0;
    в) х2 - х - 56 = 0;
    г) 5х2 - 18x + 16= 0;

    д) 8х2 + х- 75 = 0;
    е) 3х2 - 11х - 14 = 0;
    ж) 3х2 + 11х - 34 = 0;
    з) х2 - х - 1 = 0.

655. При каких значениях х верно равенство:

    а) (5х + 3)2 = 5(х + 3);
    б) (3х + 10)2 = 3(х + 10);
    в) (3х - 8)2 = 3х2 - 8х;
    г) (4х + 5)2 = 5х2 + 4х;

    д) (5х + 3)2 = 5х + 3;
    е) (5х + 2)2 = (3х + 5)2;
    ж) (4х + 5)2 = 4 (х + 5)2;
    з) (2х + 10)2 = 4(х + 5)2?

656. Решите уравнение и выполните проверку:

    а) х2 - 2х - 5 = 0;
    б) х2 + 4х + 1 = 0;
    в) 3у2 - 4у - 2 = 0;

    г) 5у2 - 7у + 1 = 0;
    д) 2у2 + 11у + 10 = 0;
    е) 4х2 - 9х - 2 = 0.

657. Найдите приближённые значения корней уравнения в виде десятичных дробей с точностью до 0,01:

    а) х2 - 2х - 2 = 0;
    б) х2 + 5х + 3 = 0;

    в) 3х2 - 7х + 3 = 0;
    г) 5х2 + 31х + 20 = 0.

658. Выясните, при каких значениях переменной:

    а) трёхчлен а2 + 7а + 6 и двучлен а + 1 принимают равные значения;
    б) трёхчлены 3х2 - х + 1 и 2х2 + 5х - 4 принимают равные значения.

Найдите эти значения.

659. При каком значении а один из корней уравнения ах2 - 3х - 5 = 0 равен 17 Найдите, чему равен при этом значении а второй корень.

660. Найдите пять последовательных целых чисел, если известно, что сумма квадратов трёх первых чисел равна сумме квадратов двух последних.

661. Найдите три последовательных чётных числа, если известно, что сумма квадратов первых двух чисел равна квадрату третьего числа.

662. Квадрат суммы двух последовательных натуральных чисел больше суммы их квадратов на 112. Найдите эти числа.

Продолжение >>>

 

 

???????@Mail.ru