Главная >> Алгебра. 8 класс. Макарычев

§ 10. Числовые неравенства и их свойства

Числовые неравенства (продолжение)

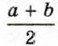
Пример 2. Пусть а и b — положительные числа. Как известно, число называется средним арифметическим чисел а и b, число — средним геометрическим, число — средним гармоническим. Докажем, что среднее арифметическое, среднее геометрическое и среднее гармоническое положительных чисел а и b связаны следующим соотношением:

Докажем сначала, что

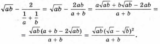
Преобразуем разность левой и правой частей этого неравенства:

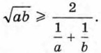
При a > 0 и b > 0 рассматриваемая разность неотрицательна и, следовательно, верно неравенство

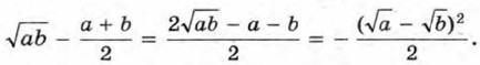
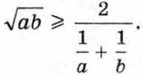
Рассмотрим теперь разность

При а > 0 и b > 0 составленная разность либо является отрицательным числом, либо равна нулю и, значит, верно неравенство

Итак, мы доказали, что если а > 0 и b > 0, то

Упражнения

724. Сравните числа а и b, если:

    а) а - b = -0,001; б) а - b = 0; в) а - b = 4,3.

725. Известно, что а < b. Может ли разность а - Ъ выражаться числом 3,72? -5? 0?

726. Даны выражения

    За (а + 6) и (3а + 6) (а + 4).

Сравните их значения при а = -5; 0; 40. Докажите, что при любом а значение первого выражения меньше значения второго.

727. Даны выражения

    46(b + 1) и (2b + 7) (2b - 8).

Сравните их значения при b = -3; -2; 10. Можно ли утверждать, что при любом значении 6 значение первого выражения больше, чем значение второго?

728. Докажите, что при любом значении переменной верно неравенство:

    а) 3(а + 1) + а < 4(2 + а);
    б) (7р - 1)(7р + 1) < 49р2;

    в) (а - 2)2 > а(а - 4);
    г) (2а + 3)(2а + 1) > 4а(а + 2).

729. Докажите неравенство:

    а) 2b2 - 6b + 1 >2b(b - 3);
    б) (с + 2)(с + 6) < (с + 3)(с + 5);

    в) р(р + 7) > 7р - 1;
    г) 8у (3y - 10) < (5у - 8)2.

730. Верно ли при любом х неравенство:

    а) 4x(x + 0,25) > (x + 3)(x - 3);
    б) (5x - 1) (5x + 1) < 25x2 + 2;
    в) (3x + 8)2 > 3x(x + 16);
    г) (7 + 2x)(7 - 2x) < 49 - x(x + 1)?

<<< К началу          Окончание >>>

 

 

???????@Mail.ru