Главная >> Алгебра. 8 класс. Макарычев

§ 11. Неравенства с одной переменной и их системы

Пересечение и объединение множеств (окончание)

802. Пусть А — множество квадратов натуральных чисел, В — множество кубов натуральных чисел. Принадлежит ли:

    а) пересечению множеств А и В число 1; 4; 64;
    б) объединению множеств А и В число 16; 27; 64?

803. На рисунке 27 изображены отрезки АВ и CD. Какая фигура является:

    а) пересечением этих отрезков;
    б) объединением этих отрезков?

804. Множеством каких фигур является пересечение:

    а) множества прямоугольников и множества ромбов;
    б) множества равнобедренных треугольников и множества прямоугольных треугольников?

805. Проиллюстрируйте с помощью кругов Эйлера соотношение между множеством N натуральных чисел, множеством Z целых чисел, множеством Q рациональных чисел. Найдите пересечение и объединение:

    а) множества натуральных и множества целых чисел;
    б) множества целых и множества рациональных чисел;
    в) множества рациональных и множества иррациональных чисел.

806. Проиллюстрируйте с помощью кругов Эйлера соотношение между множеством чисел, кратных 4, и множеством чисел, кратных 3. Какое множество изображает общая часть этих кругов?

807. (Для работы в парах.) Проиллюстрируйте с помощью кругов Эйлера соотношение между множествами А и В и найдите пересечение и объединение этих множеств, если:

    а) А — множество целых чисел, кратных 3, В — множество целых чисел, кратных 5;
    б) А — множество целых чисел, кратных 3, В — множество целых чисел, кратных 15.

    1) Распределите, кто выполняет задания для случая а), а кто — для случая б), и выполните их.
    2) Проверьте друг у друга, верно ли выполнен рисунок и правильно ли найдены пересечение и объединение множеств А и В.
    3) Исправьте ошибки, если они допущены.

808. Найдите пересечение и объединение множеств X и Y, если:

    а) X — множество простых чисел, Y — множество составных чисел;
    б) X — множество целых чисел, кратных 5, Y — множество целых чисел, кратных 15.

Упражнения для повторения

809. Термометр показывает температуру с точностью до 1 °С. Измеряя им температуру воздуха, нашли, что она равна 16 °С. С какой относительной точностью выполнено измерение?

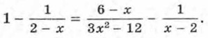
810. Решите уравнение

811. В одном фермерском хозяйстве благодаря применению новых технологий удалось получить гречихи на 2 ц с гектара больше, чем в другом. В результате оказалось, что в первом хозяйстве собрали 180 ц гречихи, а во втором только 160 ц, хотя во втором хозяйстве под гречиху было отведено на 1 га больше. Какова была урожайность гречихи в каждом хозяйстве?

Ответы

    803. а) Отрезок СВ; б) отрезок AD.

    807. б) А ∩ В = В; A ∪ В = А.

    810.

    811. 12 ц и 10 ц.

<<< К началу

 

 

???????@Mail.ru