Главная >> Алгебра. 8 класс. Макарычев

§ 11. Неравенства с одной переменной и их системы

Числовые промежутки (продолжение)

Пример 1. Найдём пересечение и объединение числовых промежутков [1; 5] и [3; 7] (рис. 37).

Имеем

    [1; 5] ∩ [3; 7] = [3; 5];
    [1; 5] ∪ [3; 7] = [1; 7].

Пример 2. Найдём пересечение и объединение числовых промежутков [-4; +∞) и [3; +∞) (рис. 38).

Имеем

    [-4; +∞) ∩ [3; +∞) = [3; +∞);
    [-4; +∞) ∪ [3; +∞) = [-4; +∞).

Заметим, что если числовые промежутки не имеют общих элементов, то их пересечением является пустое множество. Например,

    [1; 4] ∩ [7; +∞) = ∅ (рис. 39).

    Следует иметь также в виду, что объединение числовых промежутков не всегда представляет собой числовой промежуток. Например, множество [0; 4] ∪ [6; 10] не является числовым промежутком (рис. 40).

Упражнения

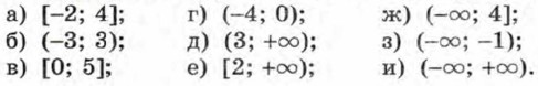
812. Изобразите на координатной прямой промежуток и назовите его:

813. Назовите промежутки, изображённые на рисунке 41, и обозначьте их.

814. Изобразите на координатной прямой промежуток и назовите его:

    а) (3; 7);
    б) (1; 6];
    в) (-∞; 5);

    г) [12; +∞);
    д) (-∞; 3];
    е) (15; +∞).

815. Изобразите на координатной прямой множество чисел, удовлетворяющих неравенству:

    а) х ≥ -2;
    б) х ≤ 3;
    в) х > 8;

    г) х < -5;
    д) х > 0,3;
    е) х ≤ -8,1.

816. Изобразите на координатной прямой множество чисел, удовлетворяющих двойному неравенству:

817. а) Принадлежит ли интервалу (-4; 6,5) число: -3; -5; 5; 6,5; -3,9; -4,1?
б) Принадлежит ли отрезку [-8; -5] число: -9; -8; -5,5; -5; -6; -7,5?

818. Какие из чисел -1,6; -1,5; -1; 0; 3; 5,1; 6,5 принадлежат промежутку:

    а) [-1,5; 6,5]; б) (3; +∞); в) (-∞; -1]?

819. Принадлежит ли интервалу (1,5; 2,4) число:

    a) √2; б) √3; в) √5; г) √6?

820. Укажите все дроби вида где а ∈ N, принадлежащие промежутку

821. Какие целые числа принадлежат промежутку:

    а) (-4; 3); б) [-3; 5]?

<<< К началу          Окончание >>>

 

 

???????@Mail.ru