Главная >> Алгебра. 8 класс. Макарычев

§ 11. Неравенства с одной переменной и их системы

Решение неравенств с одной переменной (продолжение)

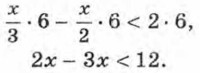
Пример 3. Решим неравенство

Умножим обе части неравенства на наименьший общий знаменатель дробей, входящих в неравенство, т. е. на 6. Получим

Отсюда

    -x < 12,
    x > -12.

Ответ: (-12; +∞).

В каждом из рассмотренных примеров мы заменяли заданное неравенство равносильным ему неравенством вида ах > b или ах < b, где а и b — некоторые числа. Неравенства такого вида называют линейными неравенствами с одной переменной.

В приведённых примерах мы получали линейные неравенства, в которых коэффициент при переменной не равен нулю. Может случиться, что при решении неравенства мы придём к линейному неравенству вида 0 • х > b или 0 • х < b. Неравенство такого вида, а значит, и соответствующее исходное неравенство либо не имеют решений, либо их решением является любое число.

Пример 4. Решим неравенство

    2(х + 8) - 5х < 4 - 3х.

Имеем

    2х + 16 - 5х < 4 - 3х,
    2х - 5х + 3х < 4 - 16.

Приведём подобные члены в левой части неравенства и запишем результат в виде 0 • х:

    0 • х < -12.

Полученное неравенство не имеет решений, так как при любом значении х оно обращается в числовое неравенство 0 < -12, не являющееся верным. Значит, не имеет решений и равносильное ему заданное неравенство.

Ответ: решений нет.

Упражнения

833. Является ли решением неравенства 5у > 2 (у - 1) + 6 значение у, равное:

    а) 8; б) -2; в) 1,5; г) 2?

834. Укажите два каких-либо решения неравенства 2х < х + 7.

835. Решите неравенство и изобразите множество его решений на координатной прямой:

    а) х + 8 > 0;
    б) х - 7 < 0;

    в) х + 1,5 ≤ 0;
    г) х - 0,4 ≥ 0.

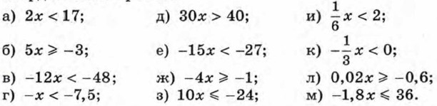
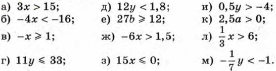
836. Решите неравенство:

837. Решите неравенство и изобразите множество его решений координатной прямой:

837. Решите неравенство 5x +1 > 11. Укажите три каких-нибудь решения этого неравенства.

838. Решите неравенство 3х - 2 < 6. Является ли решением этого неравенства число:

840. Решите неравенство:

    а) 7x - 2,4 < 0,4;
    б) 1 - 5у > 3;
    в) 2x - 17 ≥ -27;
    г) 2 - 3а ≤ 1;

    д) 17 - х > 10 - 6х;
    е) 30 + 5x ≤ 18 - 7x;
    ж) 64 - 6у ≥ 1 - у;
    з) 8 + 5у ≤ 21 + 6у.

841. Решите неравенство и изобразите множество его решений на координатной прямой:

    а) 11x - 2 < 9;
    б) 2 - 3у > -4;
    в) 17 - х ≤ 11;
    г) 2 - 12х > -1;

    д) 3у - 1 > -1 + 6у;
    е) 0,2x - 2 < 7 - 0,8x;
    ж) 6b - 1 < 12 + 7b;
    з) 16x - 34 > х + 1.

842. а) При каких значениях х двучлен 2х - 1 принимает положительные значения?
б) При каких значениях у двучлен 21 - 3у принимает отрицательные значения?
в) При каких значениях с двучлен 5 - 3с принимает значения, большие 80?

843. а) При каких значениях а значения двучлена 2а - 1 меньше значений двучлена 7 - 1,2а?
б) При каких значениях р значения двучлена 1,5р - 1 больше значений двучлена 1 + 1,1р?

844. Решите неравенство:

    а) 5(х - 1) + 7 ≤ 1 - 3(х + 2);
    б) 4 (а + 8) - 7 (а - 1) < 12;
    в) 4(b - 1,5) - 1,2 ≥ 6b - 1;
    г) 1,7 - 3(1 - m) ≤ -(m - 1,9);

    д) 4х > 12(3х - 1) - 16(х + 1);
    е) а + 2 < 5(2а + 8) + 13(4 - а);
    ж) 6у - (у + 8) - 3(2 - у) ≤ 2.

845. Решите неравенство:

    а) 4(2 - 3x) - (5 - x) > 11 - х;
    б) 2(3 - z) - 3(2 + z) ≤ z;
    в) 1 > 1,5(4 - 2а) + 0,5(2 - 6а);
    г) 2,5(2 - у) - 1,5(y - 4) ≤ 3 - у;
    д) х - 2 ≥ 4,7 (х - 2) - 2,7 (х - 1);
    е) 3,2(а - 6) - 1,2а ≤ 3(а - 8).

846. Решите неравенство и покажите на координатной прямой множество его решений:

    а) а(а - 4) - а2 > 12 - 6а;
    б) (2х - 1)2х - bх < 4х2 - х;

    в) 5y2 - 5y(у + 4) ≥ 100;
    г) 6а (а - 1) - 2а (3а - 2) < 6.

847. Решите неравенство:

    а) 0,2x2 - 0,2(х - 6)(х + 6) > 3,6x;
    б) (2x - 5)2 - 0,5x < (2x - 1)(2x + 1) - 15;
    в) (12x - 1)(3x + 1) < 1 + (6х + 2)2;
    г) (4у - 1)2 > (2у + 3)(8у - 1).

<<< К началу          Окончание >>>

 

 

???????@Mail.ru