Главная >> Алгебра. 8 класс. Макарычев

§ 11. Неравенства с одной переменной и их системы

Доказательство неравенств (окончание)

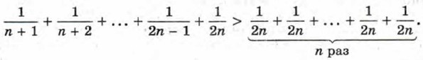
Пример 4. Докажем, что при любом натуральном n > 1 верно неравенство

Очевидно, что при любом натуральном n > 1 верны следующие неравенства:

Складывая почленно эти неравенства и прибавляя к левой и правой частям полученного неравенства по будем иметь

Отсюда

Неравенство доказано.

Упражнения

905. Докажите неравенство:

    а) а2 + b2 + 4 ≥ 2(а + b + 1); б) 4а2 + b2 > 4(а + b - 2).

906. Докажите, что если х > 0 и у > 0, то:

907. Докажите, что при а > 0 и b > 0 верно неравенство:

    а) (а + b)(аb + 16) ≥ 16аb;
    б) (а2 + 4b)(4b + 25) ≥ 80аb.

908. Докажите, что:

    если а > 0, b > 0, с > 0;
    б) (1 + а)(1 + b)(1 + с) > 24, если а > 0, b > 0, с > 0 и abc = 9.

909. Докажите, что куб полусуммы любых двух положительных чисел не превосходит полусуммы их кубов.

910. Докажите, что

если а > 0, b > 0, с > 0, d > 0.

911. Докажите, что при а > 0, b > 0, с > 0 верно неравенство

912. Докажите, что если х + у + z = 1, то

913. Докажите, что при любом а, большем 1, верно неравенство

914. Велосипедист рассчитал, с какой скоростью он должен ехать из посёлка в город и обратно, чтобы, пробыв в городе полчаса, вернуться в посёлок к намеченному сроку. Однако на пути из посёлка в город он ехал со скоростью, на 2 км/ч меньшей намеченной, а спустя полчаса возвращался из города в посёлок со скоростью, на 2 км/ч большей намеченной. Успел ли велосипедист вернуться в посёлок к назначенному сроку?

Ответы

    907. Указание. Можно воспользоваться соотношением между средним арифметическим и средним геометрическим двух положительных чисел.

    910. Указание. Сравните квадраты левой и правой частей неравенства.

    912. Указание. Воспользуйтесь соотношениями вида

    913. Указание. Можно воспользоваться тем, что при a > 1.

    914. He успел.

<<< К началу

 

 

???????@Mail.ru