Главная >> Алгебра. 8 класс. Макарычев

Дополнительные упражнения к главе IV

Дополнительные упражнения к § 10 (окончание)

922. Велосипедисты Смирнов и Антонов отправились одновременно из посёлка в город и, пробыв в городе одинаковое время, вернулись в посёлок. Смирнов в город и обратно ехал со скоростью 15 км/ч, а Антонов в город ехал со скоростью, на 1 км/ч большей, чем Смирнов, а возвращался со скоростью, на 1 км/ч меньшей, чем Смирнов. Кто из велосипедистов вернулся в посёлок раньше?

923. Докажите, что полупериметр треугольника больше длины каждой из его сторон.

924. Сравните площадь квадрата с площадью произвольного прямоугольника, имеющего тот же периметр.

925. Используя выделение из трёхчлена квадрата двучлена, докажите неравенство:

    а) а2 + ab + b2 ≥ 0; б) а2 - ab + b2 ≥ 0.

926. Докажите, что при а > 0 и b > 0 верно неравенство:

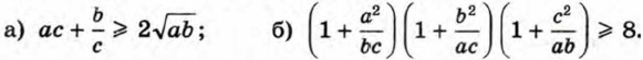
927. Используя соотношение между средним арифметическим и средним геометрическим двух положительных чисел, докажите, что при а > 0, b > 0, с > 0 верно неравенство:

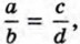
928. Старинная задача (из книги «Начала» Евклида). Докажите, что если а — наибольшее число в пропорции где а, b, с, d — положительные числа, то верно неравенство а + d > b + с.

929. Известно, что 12 ≤ у ≤ 16. Оцените значение выражения:

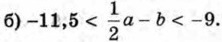
930. Оцените значение выражения:

931. Оцените длину средней линии треугольника АВС, которая параллельна стороне АВ, если 10,4 < АВ < 10,5.

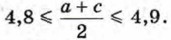
932. Оцените длину средней линии трапеции с основаниями а см и с см, если 3,4 ≤ a ≤ 3,5 и 6,2 ≤ с ≤ 6,3.

Ответы

    922. Смирнов.

    930. а) -6 < a + 2b < -3;

    931.

    932.

<<< К началу

 

 

???????@Mail.ru