Главная >> Алгебра. 8 класс. Макарычев

Дополнительные упражнения к главе IV

Дополнительные упражнения к § 11 (продолжение)

948. При каких значениях m верно равенство:

949. Найдите промежутки, в которых функция у = -6х +12 принимает положительные значения; отрицательные значения. Ответ проиллюстрируйте на графике.

950. Со склада вывозят болванки: железные массой по 500 кг и медные массой по 200 кг. На грузовик, который может везти не более 4 т, погрузили 12 болванок. Сколько среди них может быть железных болванок?

951. С турбазы в город, отстоящий на расстояние 24 км, вышел первый турист со скоростью 4 км/ч. Спустя 2 ч вслед за ним отправился второй турист. С какой скоростью должен идти второй турист, чтобы догнать первого до его прихода в город?

952. От деревни до фермы 20 км, а от фермы до станции 40 км (рис. 48). С фермы по направлению к станции выехал велосипедист со скоростью 12 км/ч. Одновременно из деревни на станцию через ферму по той же дороге отправился мотоциклист. С какой скоростью должен ехать мотоциклист, чтобы догнать велосипедиста до его приезда на станцию?

953. Основание равнобедренного треугольника равно 20 см, а его периметр не превосходит 46 см. Какова длина боковой стороны треугольника, если известно, что она выражается целым числом сантиметров?

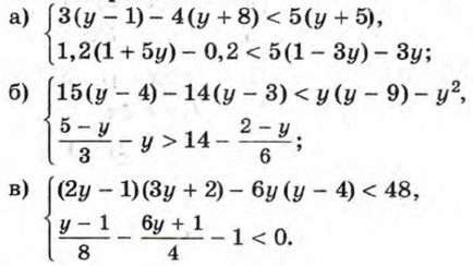
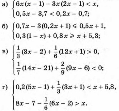
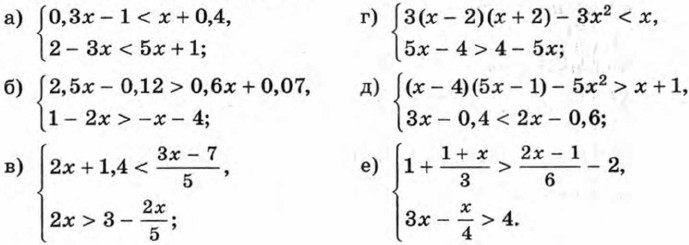
954. Решите систему неравенств:

955. Найдите целые решения системы неравенств:

956. Решите двойное неравенство:

957. а) При каких х значение выражения 2x - 4 принадлежит интервалу (-1; 5)?
б) При каких х значение дроби принадлежит числовому отрезку [0; 5]?
в) При каких х значения функции принадлежат интервалу (-1; 1)?
г) При каких х значения функции у = -2,5x + 6 принадлежат числовому отрезку [-6; -2]?

958. Найдите положительные значения у, удовлетворяющие системе неравенств:

<<< К началу          Ответы >>>

 

 

???????@Mail.ru