Главная >> Алгебра. 8 класс. Макарычев

§ 12. Степень с целым показателем и её свойства

Свойства степени с целым показателем: Ответы

1003. Преобразуйте в произведение:

1004. Представьте в виде степени произведения выражение:

    а) 0,0001x-4;
    б) 32у-5;

    в) 0,0081а8b-12;
    г) 10nх-2nу3n, где n — целое число.

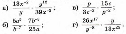
1005. Упростите выражение:

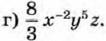
1006. Преобразуйте выражение:

1007. Упростите выражение:

1009. Известно, что х1 и х2 — корни уравнения 8x2 - 6x + n= 0 и Найдите n.

Упражнения для повторения

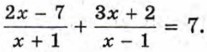
1010. Решите уравнение

1011. Найдите область определения функции:

1012. Сократите дробь зная, что b = а + с.

Ответы

    995. а) 5;

    998. а) x-2; б) х5; в) хn + 7; г)х4 - n.

    1000. а)-1; б) 6.

    1001. а) 0,224; 6) 125.

    1005. б) 81ab7; в) 15x5y5;

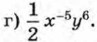
    1006. в) 5с3р3; г)2х-8у9.

    1007. а) 4х; б) 3b; в) 4а4b2с4;

    1008. а) 27x3y; б) 20а6b-2; в) 4а-10b12;

    1009. п = 1.

    1010. -4; 2.

    1011. а) (-∞; 0); б) (0; +∞).

    1012.

<<< К началу

 

 

???????@Mail.ru