Главная >> Алгебра. 8 класс. Макарычев

Исторические сведения

О квадратных корнях

С давних пор наряду с отысканием площади квадрата по известной длине его стороны приходилось решать и обратную задачу: «Какой должна быть сторона квадрата, чтобы его площадь равнялась а?» Такую задачу умели решать ещё 4 тыс. лет назад вавилонские учёные. Они составляли таблицы квадратов чисел и имевшие большую точность таблицы квадратных корней из чисел.

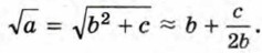
Вавилоняне использовали метод приближённого извлечения квадратного корня, который состоял в следующем. Пусть а — некоторое число (имеется в виду натуральное число), не являющееся полным квадратом. Представим а в виде суммы b2 + с, где с достаточно мало по сравнению с b2. Тогда

Например, если а = 112, то

Проверка показывает, что 10,62 = 112,36.

Указанный метод извлечения квадратного корня подробно описан древнегреческим учёным Героном Александрийским (I в. н. э.).

В эпоху Возрождения европейские математики обозначали корень латинским словом Radix (корень), а затем сокращённо буквой R (отсюда произошёл термин «радикал», которым принято называть знак корня). Некоторые немецкие математики XV в. для обозначения квадратного корня пользовались точкой. Эту точку ставили перед числом, из которого нужно извлечь корень. Позднее вместо точки стали ставить ромбик , впоследствии знак и над выражением, из которого извлекается корень, проводили черту. Затем знак и черту стали соединять. Такие записи встречаются в «Геометрии» Декарта и «Всеобщей арифметике» Ньютона. Современная запись корня появилась в книге «Руководство алгебры» французского математика М. Ролля (1652—1719).

 

 

???????@Mail.ru