Главная >> Алгебра 9 класс. Макарычев

§ 1. Функции и их свойства

Функция. Область определения и область значений функции. Упражнения

Упражнения

1. Функция задана формулой ƒ(х) = -3х2 + 10. Найдите:

2. Найдите ƒ(0), ƒ(1,5) и ƒ(-1), если

3. Известно, что ƒ(х) = х3 - 10. Найдите:

    а) ƒ(5);   б) ƒ(4);   в) ƒ(2);   г) ƒ(-3).

4. Пусть φ(х) = х2 + х + 1. Найдите φ(0) + φ(1) + φ(2) + φ(3).

5. Известно, что ƒ(х) = -5х + 6. Найдите значение х, при котором:

    а) ƒ(х) = 17;    б) ƒ(х) = -3;    в) ƒ(х) = 0.

6. Найдите значения х, при которых g(x) = 0, если:

7. Существует ли значение х, при котором значение функции, заданной формулой равно: а) 1; б) -0,5; в) 0? В случае утвердительного ответа укажите это значение.

8. Найдите значение х, при котором функция, заданная формулой ƒ(х) = 0,5х - 4, принимает значение, равное: а) -5; б) 0; в) 2,5.

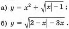
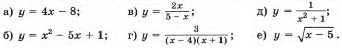
9. Найдите область определения функции, заданной формулой:

10. Приведите пример функции, областью определения которой является:

    а) множество всех чисел;
    б) множество всех чисел, кроме 7.

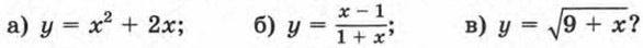
11. Какова область определения функции, заданной формулой:

12. Пассажир метро, вставший на эскалатор, сошел с него через t с. Глубина спуска h м. Угол наклона эскалатора к горизонтальной плоскости 30°. Выразите формулой зависимость h от t, если скорость движения эскалатора равна 0,75 м/с. Найдите:

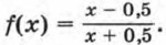
    а) h, если t = 2,25 мин;
    б) t, если h = 60м.

13. Дальность полета s (м) снаряда (без учета сопротивления воздуха), выпущенного из орудия под углом 45° к горизонту, зависит только от начальной скорости снаряда υ0 (м/с) и может быть найдена по формуле

    а) s, если υ0 = 600 м/с;
    б) υ0, если s = 24 км.

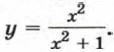
14. Укажите область определения функции, заданной формулой:

15. На рисунке 6 изображен график функции у = g(x), областью определения которой служит отрезок [-6; 5]. С помощью графика найдите:

    а) g(-4), s(-1), g(1), g(5);
    б) значения х, при которых g(x) = 4, g(x) = -4, g(x) = 0;
    в) наибольшее и наименьшее значения функции;
    г) область значений функции.

16. В течение первых 10 дней марта ученики 9 класса измеряли атмосферное давление в полдень. По результатам измерений был построен график (рис. 7). Пользуясь графиком, найдите:

    а) каким было атмосферное давление 5 марта, 9 марта;
    б) день, когда атмосферное давление было наибольшим.

17. Постройте график функции, заданной формулой:

Укажите область определения и область значений функции.

18. Найдите область значений функции:

    а) ƒ(x) = 2х - 1, где 1 ≤ х ≤ 4;
    б) g(x) = -Зх + 8, где -2 ≤ х ≤ 5.

19. Укажите область определения и область значений каждой из функций у = х2, у = х3, у = √х (см. рис. 4).

20. Найдите область определения и область значений функции

<<< К началу          Окончание >>>

 

[an error occurred while processing this directive]

 

???????@Mail.ru