Главная >> Алгебра 9 класс. Макарычев

Дополнительные упражнения к главе I

К параграфу 2

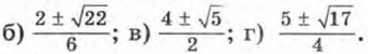
214. Найдите корни квадратного трехчлена:

215. Составьте какой-нибудь квадратный трехчлен, корнями которого являются числа:

    а) -7 и 2;   б) 3 - √2 и 3 + √2.

216. При каком значении р выражение 2рх2 - 2х - 2р - 3 становится квадратным трехчленом, одним из корней которого является число нуль? Найдите другой корень.

217. Докажите, что квадратный трехчлен имеет корни, и найдите их сумму и произведение:

218. Найдите трехчлен вида х2 + рх + q, корнями которого являются не равные нулю числа р и q.

219. Пусть α и β — корни трехчлена х2 + рх + q, причем αβ = 4 и √α + √β = 3. Чему равны α и β?

220. Выделите квадрат двучлена из квадратного трехчлена:

    а) 2x2 - 3x + 7;
    б) -3x2 + 4х - 1;

    в) 5x2 - 3x;
    г) -4x2 + 8x.

221. Докажите, что квадратный трехчлен:

    а) -x2 + 20л; - 103 не принимает положительных значений;
    б) х2 - 16х + 65 не принимает отрицательных значений.

222. Найдите наибольшее или наименьшее значение квадратного трехчлена:

    а) 3x2 - 4x + 5;   б) -3x2 + 12x.

223. Сумма положительных чисел а и b равна 40. При каких значениях а и b их произведение будет наибольшим?

224. Разложите на множители квадратный трехчлен:

225. Зная, что m — целое число, найдите целые корни трехчлена mх2 + (m - 3)x - 3.

226. Зная, что коэффициенты квадратного трехчлена (n - 3)х2 + (n + 1)х + 9 - 2n — натуральные числа, найдите этот трехчлен.

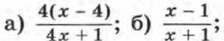
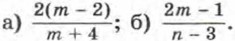
227. Сократите дробь:

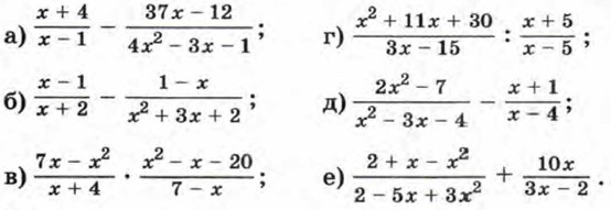
228. Выполните действие:

Ответы

    214. а) -6; 2;

    216. При р = -1,5;

    218. х2 + х - 2.

    219. α = 1, β = 4 или α = 4, β = 1.

    222. а) б) 12.

    223. При а = b = 20.

    225. -1 и 1, или -1 и 3, или -1 и -3, или -1 и -1.

    226. х2 + 5х + 1.

    227.

    228.

 

 

???????@Mail.ru