Главная >> Алгебра 9 класс. Макарычев

§ 5. Уравнения с одной переменной

Дробные рациональные уравнения

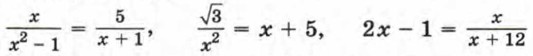
В каждом из уравнений

левая и правая части представляют собой рациональные выражения, причем либо оба выражения являются дробными, либо одно из них является дробным, а другое — целым выражением. Такие уравнения, как вы знаете, называются дробными рациональными уравнениями. Напомним, что

дробным рациональным уравнением называется уравнение, обе части которого являются рациональными выражениями, причем хотя бы одно из них — дробным выражением.

При решении дробных рациональных уравнений, как вам известно, обычно поступают следующим образом:

  • находят общий знаменатель дробей, входящих в уравнение;
  • умножают обе части уравнения на этот знаменатель;
  • решают получившееся целое уравнение;
  • исключают из его корней те, которые обращают в нуль общий знаменатель дробей.

    С простейшими примерами решения дробных рациональных уравнений вы уже встречались. Рассмотрим более сложные примеры.

    Пример 1. Решим уравнение

    Общий знаменатель дробей, входящих в уравнение, равен x4 - x2 - 72. Умножив обе части уравнения на общий знаменатель дробей, получим

      6x2 - 54 + 9х = х3.

    Отсюда

      х3 - 6х2 - 9х + 54 = 0.              (2)

    Решим полученное целое уравнение, используя разложение левой части на множители.

    Имеем

      3 - 6x2) - (9х - 54) = 0,
      х2(х - 6) - 9(х - 6) = 0,
      (х - 6)(х2 - 9) = 0,
      (х - 6)(х - 3)(х + 3) = 0.

    Значит, уравнение (2) имеет три корня:

      x1 = 6, х2 = 3, х3 = -3.

    Теперь необходимо проверить, не обращают ли найденные корни в нуль общий знаменатель дробей, входящих в уравнение (1).

      Если х = 6, то х4 - х2 - 72 ≠ 0;
      если х = 3, то х4 - х2 - 72 = 0;
      если х = -3, то х4 - х2 - 72 = 0.

    Значит, уравнение (1) имеет единственный корень — число 6.

    Ответ: 6.

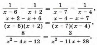
    Пример 2. Решим уравнение

    Приведение дробей, входящих в уравнение, к общему знаменателю связано с громоздкими преобразованиями и не позволяет легко найти корни уравнения. Поступим иначе. Воспользуемся тем, что знаменатели дробей представляют собой двучлены вида х + b, где b — некоторое число. Преобразуем уравнение так, чтобы в левой и правой его частях были записаны разности дробей, и каждую из разностей заменим дробью.

    Получим

    Отсюда

    Решив это уравнение, найдем, что оно имеет два корня:

      х1 = 5,2 и х2 = 10.

    Каждое из этих чисел не обращает в нуль знаменатели дробей, входящих в исходное уравнение. Следовательно, исходное уравнение имеет два корня: 5,2 и 10.

    Ответ: 5,2 и 10.

    Продолжение >>>

     

  •  

    ???????@Mail.ru