Главная >> Алгебра 9 класс. Макарычев

Дополнительные упражнения

К параграфу 5

352. Решите уравнение:

    а) х5 - х3 = 0;
    б) х6 = 4х4;

    в) 0,5х3 = 32х;
    г) 0,2х4 = 4х2.

353. Найдите корни уравнения:

    а) (а - 2)(а + 2)(а2 + 4) = 25а2 - 16;
    б) (х - 1)(х + 1)(х2 + 1) = 6х2 - 1.

354. Решите уравнение:

    а) х3 - х2 - 4(х - 1)2 = 0;
    б) 2у3 + 2у2 - (у + 1)2 = 0;

    в) 5х3 - 19х2 - 38х + 40 = 0;
    г) 6х3 - 31х2 - 31x + 6 = 0.

355. Решите уравнение:

    а) х3 + 2х2 + 3х + 2 = 0; б) x2 + 4х2 - 3х - 6 = 0.

356. Решите уравнение х3 = х двумя способами: графическим и аналитическим.

357. С помощью графиков выясните, сколько решений может иметь уравнение х3 + ах + b = 0 при различных значениях а и b.

358. Решите уравнение, используя введение новой переменной:

    а) (х2 + 6х)2 - 5(х2 + 6х) = 24;
    б) (х2 - 2х - 5)2 - 2(х2 - 2х - 5) = 3;
    в) (х2 + 3х - 25)2 - 2(х2 + 3х - 25) = -7;
    г) (у + 2) - (у + 2)2 = 12;
    д) (х2 + 2х)(х2 + 2х + 2) = 3;
    е) (х2 - х - 16)(х2 - х + 2) = 88;
    ж) (2х2 + 7х - 8)(2х2 + 7х - 3) - 6 = 0.

359. Решите уравнение:

    а) у7 - у6 + У = 1; б) у7 + у6 - 27у = 27.

360. Решите уравнение:

    а) 2х7 + х6 + 2х4 + х3 + 2х + 1 = 0;
    б) х7 - 2х6 + 2х4 - 4х3 + х - 2 = 0.

361. Найдите сумму корней биквадратного уравнения:

    а) х4 - 9х2 + 18 =
    б) х4 + 3х2 - 10 =

    в) 4х4 - 12х2 +1 = 0;
    г) 12у4 - у2 - 1 = 0.

362 Является ли число:

    корнем биквадратного уравнения х4 - 6х2 + 3 = 0;

    корнем биквадратного уравнения х4 - 10х2 + 23 = 0?

363. Разложите на множители трехчлен:

    а) х4 - 20х2 + 64;
    б) х4 - 17х2 + 16;
    в) х4 - 5х2 - 36;

    г) х4 - 3х2 - 4;
    д) 9х4 - 10х2 + 1;
    е) 4х4 - 17х2 + 4.

364. Решите уравнение:

365. При каких значениях х разность дробей равна разности дробей

366. Решите уравнение, используя выделение целой части из дроби:

367. Найдите корни уравнения:

Ответы >>>

 

 

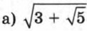
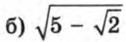
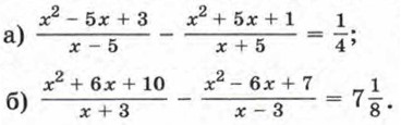
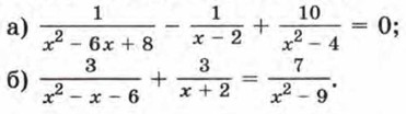
???????@Mail.ru