Главная >> Алгебра 9 класс. Макарычев

Дополнительные упражнения

К параграфу 6

376. Решите неравенство:

    а) х2 - 5х - 50 < 0;
    б) -m2 - 8m + 9 ≥ 0;
    в) 3у2 + 4у - 4 > 0;

    г) 8р2 + 2р ≥ 21;
    д) 12x - 9 ≤ 4x2;
    е) -9x2 < 1 - 6x.

377. Докажите, что при любом значении х верно неравенство:

    а) 2(х + 1)(x - 3) > (х + 5)(х - 7);

378. Найдите область определения функции:

379. При каких значениях а уравнение (а + 2)x2 + 8х + а — 4 = 0 имеет два корня?

380. При каких значениях b уравнение (6 - 1)х2 + 6х + b - 3 = 0 не имеет корней?

381. При каких значениях с не имеет корней уравнение:

    а) х4 - 12х2 + с = 0; б) х4 + сх2 + 100 = 0?

382. При каких значениях k уравнение х4 - 13x2 + k = 0 имеет:

    а) четыре корня; б) два корня?

383. Найдите общие решения неравенств

    х2 + 6х - 7 < 0 и х2 - 2х - 15 < 0.

384. Решите систему неравенств:

385. Решите систему неравенств:

386. Решите неравенство:

387. При каких значениях х произведение (3а: - 5) (x + 4) (2 - х):

    а) равно нулю; б) положительно; в) отрицательно?

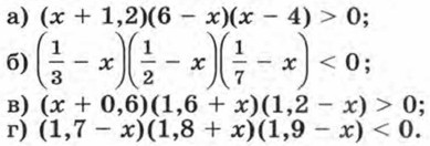
388. Решите неравенство:

    а) (18а; - 36)(х - 7) > 0;
    б) (х - 7,3)(9,8 - x) > 0;

    в) (х + 0,8)(4 - х)(х - 20) < 0;
    г) (10x + 3)(17 - х)(х - 5) ≥ 0.

389. Решите неравенство, разложив его левую часть на множители:

Ответы >>>

 

 

???????@Mail.ru