Главная >> Алгебра 9 класс. Макарычев

§ 8. Неравенства с двумя переменными и их системы

Системы неравенств с двумя переменными (продолжение)

Пример 3. Выясним, какое множество точек задает на координатной плоскости система неравенств

Множество точек, задаваемое первым неравенством, — полуплоскость, расположенная ниже прямой у = 2х + 1. Множество точек, задаваемое вторым неравенством, — полуплоскость, расположенная выше прямой у = 2х - 2. Так как угловые коэффициенты прямых y = 2x + 1 и у = 2х- 2 равны, то прямые параллельны. Следовательно, пересечением указанных полуплоскостей является полоса, изображенная на рисунке 72.

Упражнения

496. Является ли решением системы неравенств

пара чисел: а) (4; 2); б) (-5; 1); в) (-2; -1); г) (6; -5)?

497. Покажите штриховкой на координатной плоскости множество ~ решений системы неравенств:

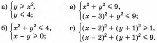
498. Изобразите на координатной плоскости множество решений системы неравенств:

499. Задайте системой неравенств:

    а) первую координатную четверть (включая оси координат);
    б) третью координатную четверть (включая оси координат).

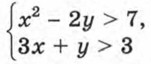
500. Изобразите на координатной плоскости множество решений "" системы:

501. Какую фигуру задает множество решений системы неравенств:

Найдите площадь каждой фигуры.

502. Задайте системой неравенств:

    а) треугольник, изображенный на рисунке 73, а;
    б) кольцо, изображенное на рисунке 73, б.

503. Одна из сторон острого угла проходит через точки (0; 0) и (3; 3), а другая — через точки (0; -2) и (3; -2). Задайте этот угол системой неравенств.

<<< К началу          Ответы >>>

 

 

???????@Mail.ru