Главная >> Алгебра 9 класс. Макарычев

Для тех, кто хочет знать больше

Некоторые приемы решения систем уравнений второй степени с двумя переменными

Вы познакомились со способом решения систем уравнений с двумя переменными, в которых одно уравнение первой степени, а другое — второй степени. Такие системы решаются способом подстановки.

Покажем на примерах некоторые приемы решения систем уравнений, в которых оба уравнения второй степени.

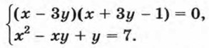
Пример 1. Решим систему уравнений

В этой системе многочлен, записанный в левой части первого уравнения, можно разложить на линейные множители:

Система уравнений перепишется в виде

Произведение (х - 3у)(х + 3у - 1) равно нулю тогда и только тогда, когда х - 3у = 0 или х + 3у - 1 = 0.

Решениями исходной системы являются те пары значений переменных х и у, которые удовлетворяют системе уравнений

или системе уравнений

Поэтому множеством решений исходной системы является объединение множеств решений систем (1) и (2). Говорят, что данная система равносильна совокупности систем уравнений (1) и (2).

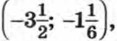
Решим первую систему. Выполнив подстановку х = 3у, получим квадратное уравнение 6у2 + у - 7 = 0, корнями которого являются числа у2 = 1. Подставив их значения в первое уравнение, найдем, что х2 = 3. Значит, система (1) имеет решения и (3; 1).

Решим систему (2). Выполнив подстановку х= -3у + 1, получим квадратное уравнение (-3у + 1)2 - у(-3у + 1) + у - 7 = 0, которое после упрощения примет вид 2у2 - у - 1 = 0. Отсюда у4 = 1. Подставив эти значения в первое уравнение системы (2), найдем, что х3 = 2,5, х4 = -2.

Значит, система (2) имеет решения (2,5; -0,5), (-2; 1).

Решения исходной системы: (3; 1), (2,5; -0,5), (-2; 1).

Таким образом, мы решили исходную систему уравнений, заменив ее совокупностью двух систем.

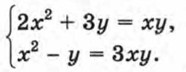
Пример 2. Решим систему уравнений

Воспользуемся способом сложения. Первое уравнение оставим без изменения, а второе умножим на 3. Затем сложим почленно левые и правые части уравнений. Получим уравнение 5х2 = 10ху, которое можно представить в виде х(х- 2у) = 0. Значит, исходную систему можно заменить равносильной ей совокупностью двух систем

Первая система имеет единственное решение: (0; 0), вторая система имеет два решения: (0; 0) и (-1; -0,5).

Решения исходной системы: (0; 0), (-1; -0,5).

Продолжение >>>

 

 

???????@Mail.ru