Главная >> Алгебра 9 класс. Макарычев

§ 9. Арифметическая прогрессия

Определение арифметической прогрессии. Формула n-го члена арифметической прогрессии (ответы)

Упражнения для повторения

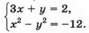
599. Решите систему уравнений

600. Решите уравнение:

    а) x3 + 4х2 - 32х = 0; б) x3 - 10x2 + 4x - 40 = 0.

601. Решите неравенство:

    а) (2x - 1)(x + 8) > 0; б) (33 - x)(16 + 2x) ≤ 0.

602. Найдите значение выражения:

Ответы

    578. а) 4; б) 3.

    581. 28 м.

    582. 60 км/ч.

    583. 7,5 и 15 см.

    584. а) 12; б) 100.

    585. а) 3; б) -3,5.

    586. а) 1,5; б) 0,8.

    589. а) с1 = 21, d = 1,5; б) c1 = 38, d = -2.

    590. х1 =-100, d = 6,2.

    591. а) Да; б) нет.

    592. а) Нет; б) да.

    593. а) Для первых тридцати членов; б) для всех членов, начиная с тридцать первого.

    594. а14 — первый положительный член, а14 = 0,5.

    599. (2; -4), (-0,5; 3,5).

    600. а) 0; -8; 4; б) 10.

    602. а) 5; б) 10 000; г) 3.

<<< К началу

 

 

???????@Mail.ru