Главная >> Алгебра 9 класс. Макарычев

§ 2. Квадратный трехчлен

Квадратный трехчлен и его корни (окончание)

Повторение

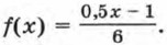
72. Функция задана формулой При каких значениях x:

    a) ƒ(x) = 0;   б) ƒ(x) > 0;   в) ƒ(x) < 0?

73. Длина l стального рельса, имеющего при 0 °С длину 60 м, изменяется в зависимости от температуры t (°С) по закону l = 60(1 + 0,000012t). Найдите приращение длины l рельса при изменении температуры:

    а) от 0 до 25 °С;   б) от 25 до 50 °С.

74. Решите уравнение:

    а) 3(х + 4)2 = 10x + 32;   б) 31х + 77 = 15(x + I)2.

75. Разложите на множители многочлен:

    a) ab + 3b - 5а - 15;   б) 2ху - у + 8х - 4.

Ответы

    56. а) 0; 7;   б) 2,5;   в) -2; 0; 2;   г) -2; 2.

    59. а) -3; 2; б)   в) -20; 5; г)   д) корней нет;   е) 0; 5.

    60. а) -1;   6) 3;   в) 1 - √5; 1 + √5;   г) -1; 1.

    63. 1;   4.

    68. При x = 1; наименьшее значение равно 4.

    69. При х = -3; наименьшее значение равно 1.

    71. 145 м.

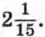
    72. а) При х = 2;   б) при х > 2;   в) при х < 2.

    73. а) 0,018 м;   б) 0,018 м.

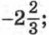
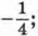
    74. а) -2; б) -2;

<<< К началу

 

 

???????@Mail.ru