Главная >> Алгебра 9 класс. Макарычев

§ 2. Квадратный трехчлен

Квадратный трехчлен и его корни

Каждое из выражений х5 - 2х4 + Зх3 - 7х + 2, 2у4 - у3 + 5у2 - 3у + 18, 7z6 - 6z4 + z2 - 2z + 3 является многочленом с одной переменной.

Значение переменной, при котором многочлен обращается в нуль, называют корнем многочлена.

Найдем, например, корни многочлена х3 - х. Для этого решим уравнение х3 - х = 0. Разложив левую часть уравнения на множители, получим

    х(х - 1)(х + 1) = 0,

отсюда х1 = 0, х2 = 1, х3 = -1.

Таким образом, числа 0, 1,-1 — корни многочлена х3 - х.

Многочлен второй степени с одной переменной называют квадратным трехчленом.

Определение. Квадратным трехчленом называется многочлен вида ах2 + bх + с, где х — переменная, а, b и с — некоторые числа, причем а ≠ 0.

Коэффициент а называют старшим коэффициентом, ас — свободным членом квадратного трехчлена.

Примерами квадратных трехчленов являются многочлены 3х2 - 2х - 5, х2 + 7х - 8. В первом из них а = 3, b = -2, с = -5, во втором а = 1, 6 = 7, с = -8. К квадратным трехчленам относятся также и такие многочлены второй степени, у которых один из коэффициентов b либо с или даже оба равны нулю. Так, многочлен 7х2 - х считают квадратным трехчленом. У него а = 7, b = -1, с = 0.

Для того чтобы найти корни квадратного трехчлена ах2 + bх + с, надо решить квадратное уравнение ах2 + bх + с = 0.

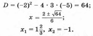
Пример 1. Найдем корни квадратного трехчлена Зх2 - 2х - 5.


Решим уравнение

    Зх2 - 2х - 5 = 0.

Имеем

Значит, квадратный трехчлен 3х2 - 2х - 5 имеет два корня: и -1.


Так как квадратный трехчлен ах2 + bх + с имеет те же корни, что и квадратное уравнение ах2 + bх + с = 0, то он может, как и квадратное уравнение, иметь два корня, один корень или не иметь корней. Это зависит от значения дискриминанта квадратного уравнения D = b2 - 4ac, который называют также дискриминантом квадратного трехчлена. Если D > 0, то квадратный трехчлен имеет два корня; если D = 0, то квадратный трехчлен имеет один корень; если D < О, то квадратный трехчлен не имеет корней.

При решении задач иногда бывает удобно представить квадратный трехчлен ах2 + bх + с в виде а(х - m)2 + n, где m и n — некоторые числа. Такое преобразование называется выделением квадрата двучлена из квадратного трехчлена. Покажем на примере, как выполняется это преобразование.

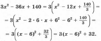
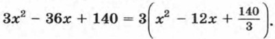
Пример 2. Выделим из трехчлена 3х2 - 3бх + 140 квадрат двучлена.


Вынесем за скобки множитель 3:

Преобразуем выражение в скобках. Для этого представим 12х в виде произведения 2 • 6 • х, а затем прибавим и вычтем 62.

Получим

Значит, 3х2 - 36х + 140 = 3(х - б)2 + 32.


Рассмотрим задачу, при решении которой применяется выделение квадрата двучлена из квадратного трехчлена.

Продолжение >>>

 

 

???????@Mail.ru