Главная >> Алгебра 9 класс. Макарычев

§ 11. Элементы комбинаторики

Перестановки (продолжение)

Упражнения

732. Сколькими способами 4 человека могут разместиться на четырехместной скамейке?

733. Курьер должен разнести пакеты в 7 различных учреждений. Сколько маршрутов он может выбрать?

734. Сколькими способами 9 человек могут встать в очередь в театральную кассу?

735. Сколько существует выражений, тождественно равных произведению abode, которые получаются из него перестановкой множителей?

736. Ольга помнит, что телефон подруги оканчивается цифрами 5, 7, 8, но забыла, в каком порядке эти цифры следуют. Укажите наибольшее число вариантов, которые ей придется перебрать, чтобы дозвониться подруге.

737. Сколько шестизначных чисел, в записи которых каждая цифра используется только один раз, можно составить из цифр:

    а) 1, 2, 5, 6, 7, 8; б) 0, 2, 5, 6, 7, 8?

738. Сколько среди четырехзначных чисел, составленных из цифр 3, 5, 7, 9 (без их повторения), таких, которые: а) начинаются с цифры 3; б) кратны 15?

739. Найдите сумму цифр всех четырехзначных чисел, которые можно составить из цифр 1, 3, 5, 7 (без их повторения).

740. Сколько чисел можно составить из цифр 1, 2, 3, 4 (без их повторения), таких, которые: а) больше 3000; б) больше 2000?

741. Семь мальчиков, в число которых входят Олег и Игорь, становятся в ряд. Найдите число возможных комбинаций, если:

    а) Олег должен находиться в конце ряда;
    б) Олег должен находиться в начале ряда, а Игорь — в конце ряда;
    в) Олег и Игорь должны стоять рядом.

742. В расписании на понедельник шесть уроков: русский язык, алгебра, геометрия, биология, история, физкультура. Сколькими способами можно составить расписание уроков на этот день так, чтобы два урока математики стояли рядом?

743. Сколько существует перестановок букв слова «конус», в которых буквы «к», «о», «н» стоят рядом в указанном порядке?

744. Сколькими способами можно расставить на полке 12 книг, из которых 5 книг — это сборники стихов, так, чтобы сборники стихов стояли рядом в произвольном порядке?

745. Сколькими способами 5 мальчиков и 5 девочек могут занять в театре в одном ряду места с 1-го по 10-е? Сколькими способами они могут это сделать, если мальчики будут сидеть на нечетных местах, а девочки — на четных?

746. Делится ли число 30! на:

    а) 90; б) 92; в) 94; г) 96?

747. Делится ли число 14! на:

    а) 168; б) 136; в) 147; Г) 132?

748. Найдите значение выражения:

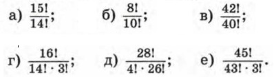
749. Вычислите значение выражения:

750. Что больше и во сколько раз:

    а) 6! • 5 или 5! • 6; б) (n + 1)! • n или n! • (n + 1)?

<<< К началу          Ответы >>>

 

 

???????@Mail.ru