Главная >> Алгебра 9 класс. Макарычев

§ 12. Начальные сведения из теории вероятностей

Вероятность равновозможных событий

Для того чтобы оценить вероятность интересующего нас события путем статистического исследования, необходимо провести большое число опытов или наблюдений, и только после этого можно определить приближенно вероятность этого события. В то же время в ряде случаев вероятность события можно оценить непосредственно из условий самого опыта или наблюдения путем рассуждений, не прибегая к испытаниям.

Вернемся к примеру с бросанием игрального кубика. Если кубик имеет правильную форму и сделан из однородного материала, то при его бросании шансы выпадения на его верхней грани каждого числа очков от 1 до 6 одинаковы, т. е. нет оснований считать, что какой-нибудь из исходов более возможен, чем остальные. Говорят, что существует б равновозможных исходов опыта с бросанием кубика: выпадение 1, 2, 3, 4, 5 и 6 очков.

Вообще исходы в определенном опыте или наблюдении считают равновозможными, если шансы этих исходов одинаковы.

Исходы, при которых происходит некоторое событие, называются благоприятными исходами для этого события.

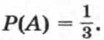
Рассмотрим событие В, которое означает выпадение на кубике числа очков, кратного 3. Это событие происходит лишь при двух исходах испытания: когда выпало 3 очка и когда выпало 6 очков, т. е. для события В благоприятными являются два исхода из шести равновозможных исходов.

Отношение числа благоприятных исходов к числу всех равновозможных исходов в рассматриваемом примере равно Это отношение считают вероятностью события В и пишут:

Обозначение Р происходит от французского слова рrоbаbilité, что означает « вероятность».

Вообще

если все исходы какого-либо испытания равновозможны, то вероятность события в этом испытании равна отношению числа благоприятных для него исходов к числу всех равновозможных исходов.

В отличие от статистического подхода к вычислению вероятности такой подход называется классическим.

Что означает на практике, что вероятность рассмотренного события В равна Разумеется, это не означает, что при шести бросках кубика число очков, кратное 3, выпадет ровно 2 раза. Возможно, что оно выпадет 1 раз, 3 раза, не выпадет совсем. Однако если провести большое число испытаний, то относительная частота появления события В будет мало отличаться от т. е. от Вообще при увеличении числа испытаний со случайными исходами относительная частота появления случайного события приближается к его вероятности.

Сопоставляя статистический и классический подходы к вычислению вероятностей, можно сделать вывод, что статистический подход предполагает фактическое проведение испытания, а при классическом подходе не требуется, чтобы испытание было проведено в действительности.

Для того чтобы найти вероятность некоторого события (при классическом подходе), надо правильно определить число равновозможных исходов испытания и число благоприятных для этого события исходов.

Задача. Найдем вероятность того, что при подбрасывании двух монет на обеих монетах выпадет решка.

При одновременном бросании двух монет равновозможными являются следующие исходы:

    — на обеих монетах выпадет орел;
    — на первой монете выпадет орел, а на второй — решка;
    — на первой монете выпадет решка, а на второй — орел;
    — на обеих монетах выпадет решка.

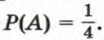
Благоприятным для события А, состоящего в том, что на обеих монетах выпадет решка, является один исход из четырех возможных, значит,

При решении этой задачи было бы ошибкой считать, что в данном опыте имеются три равновозможных исхода:

    — на обеих монетах выпадет орел;
    — на одной монете выпадет орел, а на другой — решка;
    — на обеих монетах выпадет решка.

Отсюда следовал бы неверный вывод, что

Приведем примеры вычисления вероятностей.

Пример 1. Из 25 экзаменационных билетов по геометрии ученик успел подготовить 11 первых и 8 последних билетов. Какова вероятность того, что на экзамене ему достанется билет, который он не подготовил?

Общее число равновозможных исходов при выборе билетов на экзамене 25. Пусть М — событие, заключающееся в том, что ученику достанется на экзамене билет, к которому он не подготовился. Число благоприятных для события М исходов (но не для ученика) равно 25 - (11 + 8), т. е. 6. Значит,

Пример 2. Антон и Игорь бросают белый и черный игральные кубики и подсчитывают сумму выпавших очков. Они договорились, что если при очередном бросании в сумме выпадет 8 очков, то выигрывает Антон, а если в сумме выпадет 7 очков, то выигрывает Игорь. Можно ли считать, что шансы выиграть в этой игре у мальчиков одинаковы?

При бросании кубиков на белом кубике может выпасть 1, 2, 3, 4, 5 или 6 очков. Каждому числу очков, выпавших на белом кубике, соответствует шесть вариантов числа очков, выпавших на черном кубике. Все исходы этого испытания приведены в таблице:

В каждой паре на первом месте записано число очков, выпавших на белом кубике, а на втором месте — число очков, выпавших на черном кубике. Указанные исходы испытания равновозможны. Общее число равновозможных исходов равно 36. Пусть событие А означает, что при бросании кубиков в сумме выпало 8 очков, а событие В означает, что в сумме выпало 7 очков.

Для события А благоприятными являются 5 исходов:

    (2; 6), (3; 5), (4; 4), (5; 3), (6; 2).

Для события В благоприятными являются б исходов:

    (1; 6), (2; 5), (3; 4), (4; 3), (5; 2), (6; 1).

Отсюда

Поэтому шансов выиграть у Игоря больше, чем у Антона.

Продолжение >>>

 

 

???????@Mail.ru