Главная >> Алгебра 9 класс. Макарычев

Упражнения для повторения курса 7—9 классов

Уравнения и системы уравнений (ответы)

986. В арифметической прогрессии четырнадцатый член равен 140, а сумма первых четырнадцати членов равна 1050. Найдите первый член и разность этой прогрессии.

987. Последовательность (аn) — арифметическая прогрессия. Известно, что а6 = -6 и а16 = 17,5. Найдите сумму первых шестнадцати членов этой прогрессии.

988. В арифметической прогрессии первый член равен 28, а сумма первых двадцати пяти членов равна 925. Найдите разность и тридцатый член этой прогрессии.

989. В арифметической прогрессии (аn) сумма шестого и десятого членов равна 5,9, а разность двенадцатого и четвертого членов равна 2. Найдите двадцать пятый член этой прогрессии.

990. В арифметической прогрессии (аn) сумма пятого и десятого членов равна -9, а сумма четвертого и шестого членов равна -4. Найдите сумму первых десяти членов этой прогрессии.

991. В арифметической прогрессии третий член равен 150, а тринадцатый член равен 110. Сколько членов этой прогрессии, начиная с первого, сложили, если их сумма оказалась равной нулю?

992. Последовательность (хn) — геометрическая прогрессия. Найдите:

    а) х1, если х8 = -128 и q = -4; б) q, если х1 = 162 и х9 = 2.

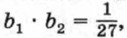
993. Найдите пятый член геометрической прогрессии (bn), если известно, что b1 = 6 и

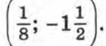
994. Найдите сумму первых шести членов геометрической прогрессии (bn), в которой

995. Пятый член геометрической прогрессии (bn) равен а знаменатель прогрессии равен Найдите сумму первых пяти членов этой прогрессии.

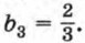
996. Найдите сумму первых семи членов геометрической прогрессии (bn), если известно, что все члены последовательности положительны и b3 = 20, b5 = 80.

997. В геометрической прогрессии (bn) b1 + b2 = 30, а b2 + b3 = 20. Найдите первые три члена этой прогрессии.

998. В геометрической прогрессии (bn), знаменатель которой положителен, а b3 • b4 = 3. Найдите сумму первых четырех членов этой прогрессии.

Ответы

    925. a) -4,5 б) x — любое число; в) -1; г) корней нет.
    926. 6,4 км.
    927. 360 км
    928. 4 и 12 км/ч.
    929. 9, 6, 16 и 15.
    930. 450 г.
    933. а) m ≤ 2,5 б) m ≥ -2; в) при любом m; г) m ≤ -4 или m ≥ 4.
    934. в) -2 > √5 < k < 2√5; г) таких значений k нет.
    935. а) 0; -3;
    936. 110 м.
    937. 25.
    938. 14.
    939. 240 м.
    940. а) -1; в) -1; 3; г) -14; 1; д) 1; 2; е) -5;
    941. 15 и 10 ч.
    942. 60 и 80 км/ч.
    943. 15 км/ч.
    944. 2 км/ч.
    945. 20 км/ч.
    946. 10 деталей.
    947. 25 страниц.
    948. 70 км/ч.
    949. 12 км/ч.
    951.
    952. а) -0,6; 0,3; б) 0; -1.
    953. а) 0; ±4; б) 0; ±1; в) 0; г) 0; 2,5; д) -8; 0; 2; е) -3; 0; 2; ж) -1; ±3;
    954. а) 2; б) -0,1; в) 0,3; г) ±2√3; д) -1; е) ±√2.
    957. а) (4; -1); б) (2,45; 0,37); в) (15; 25); г) (0,32; -0,86).
    958. а) (1; 2); б) (13; 8).
    960. а) 5; б) 3; в) √34.
    963. а) 5x + у = 30; б) 7х + 4у = 26.
    966. 60 и 40 деталей.
    967. 80 и 50 км/ч.
    968. 48 и 65 ц/га.
    969. 60 и 20 км/ч.
    970. В отношении 2 : 3.
    971. В отношении 3 : 1.
    973. а) (-2; -4), (4; 8); б) (5; 3); в) (1; 4), (4; 1); г) (3; -1), (-3; 1); д) (0; 4), е) (1; 2),
    974. а) (1; 5), (5; 1); б) (3; -2), в) (-3; -5), (-5; -3), (3; 5), (5; 3); г) (-4; -2), (4; 2).
    976. При с = -8.
    977. Пересекаются в точке (1; 4).
    978. При
    979.
    980.
    981. 9 и 40 см.
    982. 11 и 8 см.
    983. 15 и 30 дней.
    984. 3 и 6 дней.
    986. а1 = 10, d = 10.
    987. -2.
    989. 7,2.
    990. -25.
    991. 80.
    992.
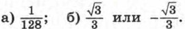
    993.
    994. 31,5.
    995. 16,5.
    996. 635.
    997.18; 12; 8.
    998.

<<< К началу

 

 

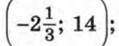
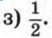
???????@Mail.ru