Главная >> Алгебра 9 класс. Макарычев

Алгебра 9 класс.

Задачи повышенной трудности (ответы)

    1036. -2; -1; -0,5; 1; 2.

    1039. При а = 1.

    1042. (2; 0), (4; 0).

    1043. При а = 3; (1,5; -5,25).

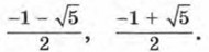
    1045. При

    1046.

    1047.

    1048. а = 1,5 или а = -2,5.

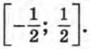
    1049. При m ∈ (-1; 3).

    1050. При а < 1.

    1051. (13; -15), (6; -1).

    1052. а) (-7; -10), (10; 7); б) (2; 3), (3; 2).

    1053. (0; 0), (2; 3), (3; 2), (-2; -3), (-3; -2), (-√7; -√7), (√7; √7), (-√19; √19), (√19; -√19).

    1054. (1 + √3; 1 - √3), (1 - √3; 1 + √3).

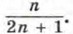
    1055. . Указание. Выполните подстановку у = х + 4.

    1056.

    1057. (1; 8), (8; 1).

    1058. (128; 2), (2; 128).

    1059.

    1060. (1; 2; 3), (-3; -4; -5).

    1061. m = 23.

    1063. 50 ч, 75 ч и 60 ч.

    1064. Существует; 22.

    1065. Сn = (2n - 1)2.

    1066. 2 ≤ n ≤ 20.

    1067.

    1073. -1, -1, -1; -1, 2, -4; -4, 2, -1; -3, 3, -3.

    1074. 1, 4, 7.

    1076. а) 2; б) 1.

    1078. х = -√3, у = 4.

    1079. x1 = 8, y1= -8, z1 = 8; х2 = -8, у2 = 8, z2 = 8.

    1080. х4 = 5, у1 = 7, = 2; х2 = 7, у2 = 3, z2 = 4; х3 = 7, y3 = 4, z3 = 3; х4 = 5, у4 = 2, z4 = 7.

    1082.

    1084. 1029.

    1085. 150 и 810.

    1086. 54 и 6; 98 и 2.

    1089. 0; 63.

    1092. Прав Олег, так как

    1093.

    1094.

    1095.

    1096.

<<< К началу

 

 

???????@Mail.ru