Главная >> Алгебра 9 класс. Макарычев

Сведения из курса алгебры 7—8 классов

Выражения и их преобразования (окончание)

10. Степень с целым показателем.

Если n — натуральное число, большее 1, и а — любое число, то

Если n = 1 и а — любое число, то

    а1 = а.

Если n = 0 и а — число, отличное от нуля, то

    а0 = 1.

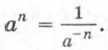
Если n — целое отрицательное число и а — отличное от нуля число, то

11. Свойства степени с целым показателем.

а) аmаn = аm + n, где а ≠ 0, m и n — целые числа.

При умножении степеней с одинаковыми основаниями основание оставляют прежним, а показатели степеней складывают.

б) аm : аn = аm - n, где а ≠ 0, m и n — целые числа.

При делении степеней с одинаковыми основаниями основание оставляют прежним, а из показателя степени делимого вычитают показатель степени делителя.

в) (аm)n = аmn, где а ≠ 0, m и n — целые числа.

При возведении степени в степень основание оставляют прежним, а показатели степеней перемножают.

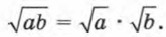
г) (ab)n = аnbn, где а^О и б^О, n — целое число.

При возведении в степень произведения возводят в эту степень каждый множитель и результаты перемножают.

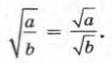
д) где а = 0 и b ≠ 0, n — целое число.

При возведении в степень дроби возводят в эту степень числитель и знаменатель и первый результат записывают в числителе, а второй — в знаменателе дроби.

12. Квадратным корнем из числа а называется число, квадрат которого равен а.

Арифметическим квадратным корнем из числа а называется неотрицательное число, квадрат которого равен а. Арифметический квадратный корень из а обозначают √а. Выражение, стоящее под знаком корня, называют подкоренным выражением. Выражение √а имеет смысл для всех а ≥ 0 и не имеет смысла при а < 0.

Свойства арифметического квадратного корня,

а) Если а ≥ 0 и b ≥ 0, то

Корень из произведения неотрицательных множителей равен произведению корней из этих множителей,

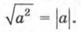
б) Если а ≥ 0 и b > 0, то

Корень из дроби, числитель которой неотрицателен, а знаменатель положителен, равен корню из числителя, деленному на корень из знаменателя.

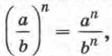
в) При любом значении а верно равенство

<<< К началу

 

 

???????@Mail.ru