Главная >> Алгебра 9 класс. Макарычев

Сведения из курса алгебры 7—8 классов

Выражения и их преобразования

1. Выражения, составленные из чисел и переменных с помощью действий сложения, вычитания и умножения, называют целыми выражениями. При этом произведение одинаковых множителей может быть записано в виде степени. К целым выражениям относят и выражения, в которых, кроме действий сложения, вычитания и умножения, используется деление на число, отличное от нуля. Например, выражения а2 + 3аb - 2b2, (х - у)(2х + у2), а2 : 7 целые.

Выражения, составленные из чисел и переменных, в которых, кроме действий сложения, вычитания и умножения, используется деление на выражение с переменными, называют дробными выражениями. Например, выражения 5m : n дробные.

Целые и дробные выражения называют рациональными выражениями.

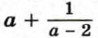
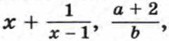
Целое выражение имеет смысл при любых значениях входящих в него переменных. Дробное выражение при некоторых значениях переменных может не иметь смысла. Например, выражение не имеет смысла при а = 2, выражение не имеет смысла при х = у.

Значения переменных, при которых выражение имеет смысл, называют допустимыми значениями переменных.

2. Тождеством называется равенство, верное при всех допустимых значениях входящих в него переменных.

Два выражения, принимающие равные значения при всех допустимых для них значениях переменных, называют тождественно равными, а замену одного выражения другим, тождественно равным ему, — тождественным преобразованием выражения.

3. Одночленами называют произведения чисел, переменных и их степеней, а также сами числа, переменные и их степени. Например, 8а3b, -1,5xy2z8, 12, с, m10 — одночлены.

Степенью одночлена называется сумма показателей степеней всех входящих в него переменных. Например, степень одночлена 9а7b равна 8.

4. Многочленом называется сумма одночленов. Например, у4 - 8у3 + 2у - 3, 4а4b + 11а2b2 - ab + 3b - 1 — многочлены. Одночлены считают многочленами, состоящими из одного члена.

Степенью многочлена стандартного вида называют наибольшую из степеней входящих в него одночленов. Например, степень многочлена 18а6 - 7а4b3 + 1 равна степени одночлена -7а4b3, т. е. равна 7.

Степенью произвольного многочлена называют степень тождественно равного ему многочлена стандартного вида.

5. При сложении многочленов пользуются правилом раскрытия скобок: если перед скобками стоит знак «плюс», то скобки можно опустить, сохранив знак каждого слагаемого, заключенного в скобки. Например, (5х2 - 3ху) + (4ху - 2х2 + 1) = 5x2 - 3ху + 4ху - 2х2 + 1 = 3х2 + ху + 1.

При вычитании многочленов пользуются правилом раскрытия скобок: если перед скобками стоит знак «минус», то скобки можно опустить, изменив знак каждого слагаемого, заключенного в скобки. Например, (8а2 - 3аb) - (7а2 - 4аb + 5) = 8а2 - 3ab - 7а2 + 4ab - 5 = а2 + ab - 5.

Чтобы умножить одночлен на многочлен, нужно умножить этот одночлен на каждый член многочлена и полученные произведения сложить. Например, 2x2(3х3 - ху + 5у2) = 6x5 - 2х3у + 10х2у2.

Чтобы умножить многочлен на многочлен, нужно каждый член одного многочлена умножить на каждый член другого многочлена и полученные произведения сложить. Например, (2а - 3)(3а2 + а - 4) = 6а3 + 2а2 - 8а - 9а2 - 3а + 12 = 6а3 - 7а2 - 11а + 12.

Любое целое выражение можно представить в виде многочлена.

Продолжение >>>

 

 

???????@Mail.ru