Главная >> Алгебра 9 класс. Макарычев

Сведения из курса алгебры 7—8 классов

Элементы статистики

45. Среднее арифметическое, мода, медиана, размах, среднее гармоническое — статистические характеристики.

Средним арифметическим ряда чисел называется частное от деления суммы этих чисел на число слагаемых.

Модой ряда называется число, которое встречается в ряду чаще других. Ряд может иметь более одной моды, а может не иметь моды совсем.

Медианой упорядоченного ряда чисел с нечетным числом членов называется число, записанное посередине, а медианой упорядоченного ряда чисел с четным числом членов называется среднее арифметическое двух чисел, записанных посередине.

Например, медиана ряда чисел

    17, 21, 27, 29, 32, 37, 41

равна 29, а медиана ряда чисел

    28, 43, 54, 56, 58, 62

равна 55.

Медианой произвольного ряда чисел называется медиана соответствующего упорядоченного ряда.

Размахом ряда чисел называется разность между наибольшим и наименьшим из этих чисел.

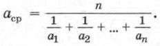
Средним гармоническим ряда положительных чисел а1, а2, ..., аn называется число аср, которое вычисляется по формуле

46. Вся изучаемая совокупность данных называется генеральной совокупностью. В случаях, когда сложно или даже невозможно провести сплошное исследование генеральной совокупности, составляется выборочная совокупность (выборка), которая подвергается исследованию. При этом выборка должна быть репрезентативной (представительной), т. е. достаточной по объему и отражающей характерные особенности исследуемой генеральной совокупности.

47. Для обобщения и систематизации данных, полученных в результате исследования, иногда их по какому-либо признаку разбивают на группы и результаты группировки представляют в виде таблицы частот или относительных частот.

Если в ряду чисел имеется большое число данных и одинаковые данные встречаются редко, то для анализа данных образуют интервальный ряд, указывая для каждого интервала соответствующую частоту или относительную частоту.

48. Для наглядного представления данных, полученных в результате статистического исследования, используют столбчатые и круговые диаграммы, полигоны и гистограммы.

 

 

???????@Mail.ru