Главная >> Алгебра 9 класс. Макарычев

§ 3. Квадратичная функция и ее график

Графики функций у = ах2 + n и у= а(х - m)2 (окончание)

Упражнения

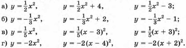
106. Изобразите схематически график каждой функции (отметьте вершину параболы и направление ее ветвей):

107. С помощью шаблона параболы у = х2 постройте график функции:

    а) у = х2 - 4;
    б) у = -х2 + 3;

    в) у = (х - 5)2;
    г) у = (х + З)2.

108. Используя шаблон параболы у = х2, постройте график функции:

    а) у = х2 + 2;
    б) у = -x2 - 1;

    в) у = (х + 4)2;
    г) у = -(х - 3)2.

109. В каких координатных четвертях расположен график функции:

    а) у = 10х2 + 5;
    б) у = -7х2 - 3;
    в) у = -6х2 + 8;

    г) у = (х - 4)2;
    д) у = -(х - 8)2;
    е) у = -3(х + 5)2?

110. Изобразите схематически график функции:

111. Изобразите схематически график функции:

112. Используя шаблон параболы у = х2, постройте график функции:

    а) у = (х - 2)2 + 3;   б) у = -(х - 3)2 + 5.

113. С помощью шаблона параболы у = х2 постройте график функции:

    а) у = (х + З)2 - 4;   б) у = -(х + 4)2 - 2.

114. Найдите нули функции (если они существуют):

    а) у = 12х2 - 3;   б) у = 6х2 + 4; в) у = -х2 - 4.

115. При каких значениях а функция у = ах2 + 5 имеет нули?

116. На рисунке 30 изображены графики функций:

Для каждого графика укажите соответствующую формулу.

Повторение

117. Решите уравнение:

    а) 0,6а - (а + 0,3)2 = 0,27;

118. Решите неравенство:

    а) 5х - 0,7 < 3х + 5,1;
    б) 0,8д: + 4,5 ≥ 5 - 1,2х;

    в) 2х + 4,2 ≤ 4х + 7,8;
    г) Зх - 2,6 > 5,5х - 3,1.

119. Найдите приращение функции у = х2 при изменении х от 2 до 5 и от 5 до 8. Сравните полученные результаты.

Ответы

    114. б) нулей нет;   в) нулей нет.

    115. При а < 0.

    117. а) Корней нет;   б) 0; 2,8.

    118. а) (-∞; 2,9);   б) [0,25; +∞);   в) [-1,8; +∞);   г) (-∞; 0,2).

<<< К началу

 

 

???????@Mail.ru