Главная >> Астрономия. 11 класс. Воронцов-Вельяминов

Строение Солнечной системы

Конфигурация планет. Синодический период

Синодический и сидерический периоды обращения планет

Конфигурации планеты периодически повторяются.

    Промежуток времени между двумя последовательными одноимёнными конфигурациями планеты (например, верхними соединениями) называется её синодическим периодом.

Ещё в глубокой древности, когда считалось, что планеты обращаются вокруг Земли, для каждой из них на основе многолетних наблюдении был определен синодический период обращения.

Согласно гелиоцентрической системе, сама Земля обращается вокруг Солнца с периодом, равным году. Это её движение необходимо учитывать, чтобы узнать периоды обращения планет в невращающейся инерциальной системе отсчёта, или, как принято говорить, по отношению к звёздам.

    Период обращения планеты вокруг Солнца по отношению к звёздам называется звёздным (или сидерическим) периодом.

Очевидно, что по своей продолжительности синодический период планеты не совпадает ни с её сидерическим периодом, ни с годом, который является звездным периодом обращения Земли.

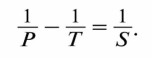
Рассмотрим, как связан синодический период планеты со звёздными периодами Земли и самой планеты. Чем ближе планета к Солнцу, тем быстрее она совершает свой оборот вокруг него. Пусть звёздный период обращения внешней планеты равен Р, звёздный период Земли — T(T < Р), а синодический период — S. Тогда угловые скорости их движения по орбитам будут равны соответственно 360°/P и 360°/T. От момента какой-либо конфигурации (например, противостояния) до следующей такой же конфигурации планета пройдет дугу своей орбиты, равную За этот же промежуток времени (за синодический период) Земля пройдёт дугу на 360° большую, которая равна Тогда:

или

Почти такой же будет формула для внутренней планеты:

Следовательно, зная синодический период планеты, можно вычислить ее звездный период обращения вокруг Солнца.

    Вопросы

1. Что называется конфигурацией планеты? 2. Какие планеты считаются внутренними, какие — внешними? 3. В какой конфигурации может находиться любая планета? 4. Какие планеты могут находиться в противостоянии? Какие — не могут? 5. Назовите планеты, которые могут наблюдаться рядом с Луной во время её полнолуния.

    Упражнение 9

1. Нарисуйте, как будут располагаться на своих орбитах Земля и планета: а) Меркурий — в нижнем соединении; б) Венера — в верхнем соединении; в) Юпитер — в противостоянии; г) Сатурн — в верхнем соединении. 2. В какое время суток (утром или вечером) будет видна Венера, если она расположена так, как показано на рисунке 3.4, г? 3. Сравните условия видимости Марса в положениях, показанных на рисунках 3.4, в и 3.4, а. 4. Оцените, сколько примерно времени и когда (утром или вечером) может наблюдаться Венера, если она удалена к востоку от Солнца на 45°. 5. Через какой промежуток времени встречаются на циферблате часов минутная и часовая стрелки? 6. Звёздный период обращения Юпитера равен 12 годам. Через какой промежуток времени повторяются его противостояния?

    Ответы

4. Вечером, около 3 ч.

5. 1 1/11 ч.

6. 584 сут, 1 1/11 года = 398 сут.

<<< К началу

 

 

???????@Mail.ru