Главная >> Астрономия. 11 класс. Воронцов-Вельяминов

§ 22. Расстояния до звёзд. Характеристики излучения звёзд

Спектры, цвет и температура звёзд

Всю информацию о звёздах можно получить только на основе исследования приходящего от них излучения. Наблюдая звёзды, можно заметить, что они имеют различный цвет. Хорошо известно, что цвет любого нагретого тела, в частности звезды, зависит от его температуры. Более полное представление об этой зависимости дает изучение звездных спектров. Для большинства звёзд это спектры поглощения, в которых на фоне непрерывного спектра наблюдаются тёмные линии.

Температуру наружных слоев звезды, от которых приходит излучение, определяют по распределению энергии в непрерывном спектре (рис. 5.14), а также по интенсивности разных спектральных линий. Длина волны, на которую приходится максимум излучения, зависит от температуры излучающего тела. По мере увеличения температуры положение максимума смещается от красного к фиолетовому концу спектра. Количественно эта зависимость выражается законом Ви́на:

    длина волны

Распределение энергии в непрерывном спектре Солнца и чёрного тела при различных температурах

где λmах — длина волны (в см), на которую приходится максимум излучения, а Т — абсолютная температура.

Как оказалось, эта температура для различных типов звёзд заключена в пределах от 2500 до 50 000 К. Изменение температуры меняет состояние атомов и молекул в атмосферах звёзд, что отражается в их спектрах. По ряду характерных особенностей спектров звезды разделены на спектральные классы, которые обозначены латинскими буквами и расположены в порядке, соответствующем убыванию температуры: О, В, A, F, G, К, М.

У наиболее холодных (красных) звёзд класса М в спектрах наблюдаются линии поглощения некоторых двухатомных молекул (например, оксидов титана, циркония и углерода). Примерами звёзд, температура которых около 3000 К, являются Антарес и Бетельгейзе.

В спектрах жёлтых звёзд класса G с температурой около 6000 К, к которым относится и Солнце, преобладают линии металлов: железа, натрия, кальция и т. д. По температуре, спектру и цвету сходна с Солнцем звезда Капелла.

Для спектров белых звёзд класса А, которые имеют температуру около 10 000 К (Вега, Денеб и Сириус), наиболее характерны линии водорода и множество слабых линий ионизованных металлов. В спектрах наиболее горячих звёзд появляются линии нейтрального и ионизованного гелия.

Различия звёздных спектров объясняются отнюдь не разнообразием их химического состава, а различием температуры и других физических условий в атмосферах звёзд. Изучение спектров показывает, что преобладают в составе звёздных атмосфер (и звёзд в целом) водород и гелий. На долю всех остальных химических элементов приходится не более нескольких процентов.

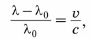
Измерение положения спектральных линий позволяет не только получить информацию о химическом составе звёзд, но и определить скорость их движения. Если источник излучения (звезда или любой другой объект) приближается к наблюдателю или удаляется от него со скоростью v, то наблюдатель будет регистрировать изменение длины волны принимаемого излучения. В случае уменьшения расстояния между наблюдателем и звездой длина волны уменьшается и соответствующая линия смещается к сине-фиолетовому концу спектра. При удалении звезды длина волны излучения увеличивается, а линия смещается в красную его часть. Это явление получило название эффекта Доплера, согласно которому зависимость разности длин волн от скорости источника по лучу зрения υ и скорости света с выражается следующей формулой:

где λ0 — длина волны спектральной линии для неподвижного источника, а λ — длина волны в спектре движущегося источника.

Эффект Доплера наблюдается в оптической и других областях спектра и широко используется в астрономии.

 

 

???????@Mail.ru