Главная >> Астрономия. 11 класс. Воронцов-Вельяминов

§ 25. Наша Галактика

4. Движение звёзд в Галактике. Её вращение

Долгое время звёзды не случайно считались «неподвижными». Измеряя взаимное расположение звёзд на небе, астрономы только в начале XVIII в. заметили, что положения некоторых ярких звёзд (Альдебарана, Арктура, Сириуса) относительно соседних слабых звёзд изменились по сравнению с теми, которые были отмечены в древности. Смещение звёзд, которое назвали собственным движением, было обнаружено раньше, чем удалось измерить их годичный параллакс.

    Собственным движением звезды называется её видимое угловое смещение за год по отношению к слабым далеким звездам.

Смещение звёзд на небе в течение года невелико. Однако на протяжении десятков тысяч лет собственные движения звёзд существенно сказываются на их положении, вследствие чего меняются привычные очертания созвездий (рис. 6.10).

    Изменение вида созвездия Большая Медведица на протяжении 100 тыс. лет

Скорости движения в пространстве у различных звёзд отличаются довольно значительно. Самая «быстрая» из них, получившая название «летящая звезда Барнарда», за год перемещается по небу на 10,8". Это означает, что 0,5° — угловой диаметр Солнца и Луны — она проходит менее чем за 200 лет. В настоящее время эта звезда (её звёздная величина 9,7) находится в созвездии Змееносца. Большинство из 300 тыс. звёзд, собственное движение которых измерено, меняют своё положение значительно медленнее — смещение составляет всего лишь сотые и тысячные доли угловой секунды за год.

В настоящее время собственные движения звёзд определяют, сравнивая положение звёзд на фотографиях данного участка звёздного неба, полученных на одном и том же телескопе с промежутком времени в несколько лет или даже десятилетий. Но даже в этом случае смещение сравнительно близких звезд на фоне более далеких столь мало, что его можно определить только с помощью специальных микроскопов.

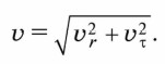
Скорость звезды в пространстве можно представить как векторную сумму двух компонентов, один из которых направлен по лучу зрения, другой — перпендикулярно ему (рис. 6.11). Скорость по лучу зрения непосредственно определяется по эффекту Доплера — смещению линий в спектре звезды. Компонент скорости по направлению, перпендикулярному лучу зрения можно вычислить только в том случае, если измерить собственное движение звезды и её параллакс, т. е. знать расстояние до нее. Тогда пространственная скорость звезды будет равна:

    Разложение вектора скорости звезды

Окончание >>>

 

 

???????@Mail.ru