Главная >> Астрономия. 11 класс. Воронцов-Вельяминов

Строение и эволюция Вселенной

§ 27. Основы современной космологии

По сути дела, существовавшие на каждом этапе развития человеческой цивилизации представления о строении мира можно считать космологическими теориями соответствующей эпохи. Геоцентрическая система Аристотеля—Птолемея стала первой научно обоснованной космологической моделью Вселенной. Спустя 1500 лет её сменила новая космологическая модель — гелиоцентрическая система, предложенная Коперником.

    Космология — раздел астрономии, который изучает строение и эволюцию Вселенной в целом, используя при этом методы и достижения физики, математики и философии.

Теоретические модели, описывающие наиболее общие свойства строения и эволюции Вселенной, проверяются астрофизическими методами наблюдений. Очевидно, что выводы космологии имеют важное значение для формирования современной научной картины мира.

    Альберт Эйнштейн

Теоретическим фундаментом современной космологии явилась созданная Альбертом Эйнштейном (1879—1955) в начале XX в. общая теория относительности — релятивистская теория тяготения.

    Александр Александрович Фридман

Наиболее существенным отличием современных космологических моделей, первые из которых были разработаны Александром Александровичем Фридманом (1888— 1925) на основе теории Эйнштейна, является их эволюционный характер. Идея глобальной эволюции Вселенной оказалась столь необычной, что первоначально не была принята даже самим создателем теории относительности, таким выдающимся учёным, как Эйнштейн.

Даже позднее, когда стало очевидно, что все объекты во Вселенной изменяются с течением времени, казалось, что процессы, происходящие в её отдельных составных частях, не меняют облика всей Вселенной.

Эта идея была для Эйнштейна настолько очевидной, что Александр Александрович Фридман для уравнений теории относительности, применённых ко всей Вселенной, он стал искать решения, описывающие ее состояние, не меняющееся со временем. Для того чтобы уравновесить силы тяготения, он предположил, что кроме них во Вселенной существует сила отталкивания. Эта сила должна быть универсальной, зависящей только от расстояния между телами и не зависящей от их массы. Ускорение, которое она будет создавать этим телам, должно быть пропорционально расстоянию: а — const • R. Так в уравнениях появилась обусловленная гипотетическими силами отталкивания космологическая постоянная — лямбда-член.

В 1922—1924 гг. российский математик Фридман вывел из общей теории относительности Эйнштейна уравнения, которые описывали общее строение и эволюцию Вселенной. Решения, полученные Фридманом для этих космологических уравнении, означали, что материя в масштабах однородной и изотропной Вселенной не может находиться в покое — Вселенная должна либо сжиматься, либо расширяться. Суть этого вывода, сделанного на основе математически строгого решения уравнений, можно объяснить довольно просто, оперируя только привычными понятиями теории тяготения Ньютона.

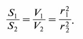
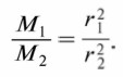
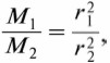
Будем исходить из предположения, что в больших масштабах распределение вещества во Вселенной можно считать однородным. Тогда галактика, которая находится на поверхности шара произвольного радиуса, притягивается к его центру согласно закону всемирного тяготения с силой, прямо пропорциональной массе шара М и обратно пропорциональной квадрату его радиуса R. Все остальные галактики, лежащие вне этого шара, не меняют величины этой силы. Для доказательства этого важного утверждения произвольно выделим во Вселенной шаровой слои толщиной h такого радиуса, чтобы внутри него оказались не только галактика А, но и весь шар радиусом R (рис. 6.26). Рассмотрим силы тяготения, действующие на галактику А со стороны тех галактик, которые расположены в этом слое в противоположных от неё направлениях. Эти силы создаются галактиками, расположенными в объёме элементов слоя V1 и V2. Сравним объём и массу этих элементов. Толщина их одинакова — h, а площади aS1 и S/sub>2 и объёмы пропорциональны квадратам расстояний от галактики до поверхности слоя — r1, и r2:

    Объяснение нестационарности Вселенной

Так как распределение галактик во Вселенной считается однородным, отношение масс этих элементов будет таким же:

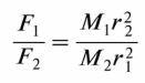
Силы, с которыми эти массы притягивают галактику А, согласно закону всемирного тяготения равны:

и

где m — масса галактики А.

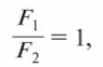
Запишем отношение этих сил

и, подставив в него значение получим

или

    F1 = F2.

Таким образом, эти силы, равные по абсолютной величине и направленные в противоположные стороны, уравновешивают друг друга. Значит, галактики, находящиеся вне шара радиусом R, не влияют на величину силы, с которой галактика А притягивается галактиками, находящимися внутри этого шара.

Следовательно, можно написать следующее выражение для ускорения, которое имеет одна из этих галактик по отношению к галактике, расположенной в его центре:

Знак «минус» означает, что ускорение соответствует притяжению, а не отталкиванию. Из этой формулы следует, что Вселенная должна быть нестационарной, поскольку в ней действует тяготение. Галактики могут находиться в покое только мгновение. В следующий момент они придут в движение и будут сближаться под действием сил тяготения. Если же в начальный момент галактики будут иметь скорости, направленные так, чтобы они удалялись друг от друга, то в этом случае тяготение будет тормозить расширение Вселенной. Величина и направление скорости, которую имеют галактики в определённый момент, из теории тяготения не выводятся, их можно получить только на основе наблюдений.

Теоретические выводы Фридмана получили важное наблюдательное подтверждение в открытом Хабблом законе пропорциональности скорости удаления галактик их расстоянию:

    υ = HR.

Этот закон не выполняется только для нескольких ближайших галактик, включая туманность Андромеды.

Удаление галактик, которое происходит во все стороны со скоростями, прямо пропорциональными расстоянию от нас, не означает, однако, что наша Галактика занимает какое-то особое положение во Вселенной. Точно такая же картина «разбегания» галактик будет наблюдаться для любой другой галактики.

Выберем в пространстве, занятом галактиками, произвольно направленную прямую, которая проходит через нашу Галактику (рис. 6.27). На этой прямой окажется несколько галактик, которые удаляются со скоростями, подчиняющимися закону Хаббла, от нашей Галактики А (рис. 6.27, а). Теперь попробуем представить, какую картину разбегания галактик мы увидим, если перенесёмся на галактику В. Для того чтобы определить скорости всех галактик относительно неё, надо из скоростей, изображённых на рисунке 6.27, а, вычесть скорость галактики В (рис. 6.27, б). Полученная картина, которая представлена на рисунке 6.27, в, принципиально не отличается от предыдущей: скорости удаления галактик по-прежнему пропорциональны расстояниям.

    Расширение Вселенной

Для того чтобы узнать, когда примерно началось наблюдаемое расширение, необходимо воспользоваться постоянной Хаббла Н. Галактика, находящаяся от нас на расстоянии R, удаляется со скоростью HR. Следовательно, разделив расстояние, пройденное галактикой с момента начала расширения, на её скорость, мы получим:

Величина, обратная постоянной Хаббла, даёт примерную оценку времени, которое прошло с момента начала расширения Вселенной. Нетрудно подсчитать, что это время составляет примерно 13,5 млрд лет.

Открытие Хабблом «красного смещения» и работы Фридмана, показавшего, что Вселенная не может быть стационарной, явились только началом исследований эволюции Вселенной.

Взаимное удаление галактик означает, что в прошлом они были гораздо ближе друг к другу, чем теперь. В ещё более раннюю эпоху плотность вещества была так велика, что во Вселенной не могло существовать ни галактик, ни звёзд и никаких других наблюдаемых ныне объектов. Расчёты прошлого, проведённые на основе космологических моделей Фридмана, показывают, что в момент начала расширения Вселенной её вещество должно иметь огромную (бесконечно большую) плотность.

Окончание >>>

 

 

???????@Mail.ru