Главная >> Астрономия 10 класс. Воронцов-Вельяминов

21. Солнце — ближайшая звезда

Строение Солнца

Как и все звезды, Солнце — раскаленный газовый шар. В основном оно состоит из водорода с примесью 10% (по числу атомов) гелия. Количество атомов всех остальных элементов. вместе взятых, примерно в 1000 раз меньше. Однако по массе на эти более тяжелые элементы приходится 1—2% массы Солнца.

На Солнце вещество сильно ионизовано, т. е. атомы лишены внешних своих электронов, которые становятся свободными части-, цами ионизованного газа — плазмы.

Для определения средней плотности солнечного вещества надо массу Солнца поделить на его объем:

это значение соизмеримо с плотностью воды и в тысячу раз больше плотности воздуха у поверхности Земли. Однако в наружных слоях Солнца плотность в миллионы раз меньше, а в центре — в 100 раз больше, чем

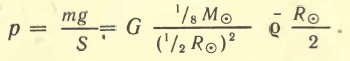
Под действием сил гравитационного притяжения, направленных к центру Солнца, в его недрах создается огромное давление. Если бы вещество внутри Солнца было распределено равномерно и плотность всюду равнялась средней, то рассчитать внутреннее давление было бы легко. Сделаем приближенно такой расчет для глубины, равной половине радиуса.

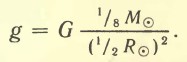
Сила тяжести на этой глубине будет определяться только притяжением масс, находящихся внутри сферы радиусом Объем этой сферы составляет 1/8 от объема всего Солнца, и при постоянстве плотности в нем заключена Следовательно, по закону всемирного тяготения гравитационное ускорение на расстоянии от Центра «однородного» Солнца составит:

Сила давления на данной глубине складывается из силы тяжести всех вышележащих слоев. Само же давление будет (численно) равно силе тяжести радиального столбика вещества высотой расположенного над площадью S = 1 м2 в рассматриваемой точке. В этом столбике заключена масса

Поэтому давление

Отсюда получаем, что р ≈ 6,6 • 1013 Па.

Согласно газовым законам давление пропорционально температуре и плотности. Это дает возможность определить температуру в недрах Солнца. Для средней плотности солнечного вещества давление в 1015 Па получится при температуре порядка 5 000 000 К.

Точные расчеты показывают, чтохв центре Солнца плотность газа составляет около 1,5 • 105 кг/м3 (в 13 раз больше, чем у свинца!), давление — около 2 • 1018 Па, а температура—около 15 000 000 К.

Окончание >>>

 

 

???????@Mail.ru