Главная >> Астрономия 10 класс. Воронцов-Вельяминов

28. Движения звезд в Галактике

Компоненты пространственной скорости звезд

Скорость звезды в пространстве можно представить как векторную сумму двух компонент, один из которых направлен вдоль луча зрения, другой перпендикулярен ему. Первый компонент представляет собой лучевую, второй — тангенциальную скорость. Собственное движение звезды определяется лишь ее тангенциальной скоростью и не зависит от лучевой. Чтобы вычислить тангенциальную скорость Vτ в километрах в секунду, надо μ, выраженное в радианах в год, умножить на расстояние до звезды D выраженное в километрах, и разделить на число секунд в году. Но так как на практике μ всегда определяется в секундах дуги, айв парсеках, то для вычисления Vτ в километрах в секунду получается формула:

    Vτ = 4.74μD.

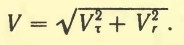
Если определена по спектру и лучевая скорость звезды Vr, то пространственная скорость ее V будет равна:

Скорости звезд относительно Солнца (или Земли) обычно составляют десятки километров в секунду.

Собственные движения звезд определяют, сравнивая фотографии выбранного участка неба, сделанные на одном и том же телескопе через промежуток времени, измеряемый годами или даже десятилетиями. Из-за того, что звезда движется, ее положение на фоне более далеких звезд за это время немного изменяется. Смещение звезды на фотографиях измеряют с помощью специальных микроскопов. Такое смещение удается оценить лишь для сравнительно близких звезд.

В отличие от тангенциальной скорости лучевую скорость можно измерить, даже если звезда очень далека, но яркость ее достаточна для получения спектрограммы.

Звезды, близкие друг к другу на небе, в пространстве могут быть расположены далеко друг от друга и двигаться с различными скоростями. Поэтому по истечении тысячелетий вид созвездий должен сильно меняться вследствие собственных движений звезд (рис. 99).

    созвездия Большой Медведицы

 

 

???????@Mail.ru