Главная >> Астрономия 11 класс. Воронцов-Вельяминов

§ 22. Расстояния до звёзд. Характеристики излучения звёзд

Годичный параллакс и расстояния до звёзд

Мысли о том, что звёзды — это далёкие солнца, высказывались ещё в глубокой древности. Однако долгое время оставалось неясным, как далеко они находятся от Земли. Ещё Аристотель понимал, что если Земля движется, то, наблюдая положение какой-либо звезды из двух диаметрально противоположных точек земной орбиты, можно заметить, что направление на звезду изменится (рис. 5.12). Это кажущееся (параллактическое) смещение звезды будет служить мерой расстояния до нее: чем оно больше, тем ближе к нам расположена звезда. Но не только самому Аристотелю, но даже значительно позднее Копернику не удалось обнаружить это смещение. Только в конце первой половины XIX в., когда телескопы были оборудованы приспособлениями для точных угловых измерении, удалось измерить такое смещение у ближайших звёзд.

    Параллактическое смещение звезды

    Годичным параллаксом звезды р называется угол, под которым со звезды можно было бы видеть большую полуось земной орбиты (равную 1 а. е.), перпендикулярную направлению на звезду (рис. 5.13).

    Годичный параллакс звезды

Расстояние до звезды

    Расстояние до звезды

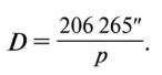
где а — большая полуось земной орбиты. Заменив синус малого угла величиной самого угла, выраженной в радианной мере, и приняв а = 1 а. е., получим следующую формулу вычисления расстояния до звезды в астрономических единицах:

    формулу вычисления расстояния до звезды

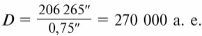
В 1837 г. впервые были осуществлены надёжные измерения годичного параллакса. Русский астроном Василий Яковлевич Струве (1793—1864) провёл эти измерения для ярчайшей звезды Северного полушария Веги (α Лиры). Почти одновременно в других странах определили параллаксы ещё двух звёзд, одной из которых была а Центавра. Эта звезда, которая с территории России не видна, оказалась ближайшей к нам. Даже у неё годичный параллакс составил всего 0,75". Под таким углом невооружённому глазу видна проволочка толщиной 1 мм с расстояния 280 м. Поэтому неудивительно, что столь малые угловые смещения так долго не могли заметить.

Расстояние до ближайшей звезды, параллакс которой р = 0,75", составляет Единицами для измерения столь значительных расстоянии являются парсек и световой год.

Парсек — это такое расстояние, на котором параллакс звёзд равен 1". Отсюда и название этой единицы: пар — от слова «параллакс», сек — от слова «секунда». Расстояние в парсеках равно обратной величине годичного параллакса. Например, поскольку параллакс α Центавра равен 0,75", расстояние до неё равно 1,3 парсека.

Световой год — это такое расстояние, которое свет, распространяясь со скоростью 300 тыс. км/с, проходит за год. От ближайшей звезды свет идет до Земли свыше четырех лет, тогда как от Солнца около восьми минут, а от Луны немногим более одной секунды.

1 пк (парсек) = 3,26 светового года = 206 265 а. е. = 3 • 1013 км.

К настоящему времени с помощью специального спутника «Гиппаркос» измерены годичные параллаксы более 118 тыс. звёзд с точностью 0,001".

Таким образом, теперь измерением годичного параллакса можно надёжно определить расстояния до звёзд, удалённых от нас на 1000 пк, или 3000 св. лет. Расстояния до более далёких звёзд определяются другими методами.

 

 

???????@Mail.ru