Главная >> Домашние работы по русскому языку 10-11 класс. Гольцова

Виды предложений по структуре

Простое осложнённое предложение (окончание)

    1. Предложение повествовательное.
    2. Невосклицательное.
    3. Односоставное, определённо-личное (сказуемое — пьёшь, выражено глаголом 2 л., ед. ч.); распространённое; полное; осложнено сравнительным оборотом.
    4. В конце повествовательного предложения ставится точка.

    1. Предложение повествовательное.
    2. Невосклицательное.
    3. Двусоставное (подлежащее — я, выражено личным местоимением, стоит в форме им. п.; сказуемое — бреду — простое глагольное); распространённое; полное; неосложнённое.
    4. В конце повествовательного предложения ставится точка.

    1. Предложение повествовательное.
    2. Невосклицательное.
    3. Двусоставное (подлежащее — два колеса, выражено сочетанием существительного и числительного, стоит в форме им. п.; сказуемое — глядели — простое глагольное); распространённое; полное; осложнено деепричастным оборотом и однородными членами.
    4. В конце повествовательного предложения ставится точка.

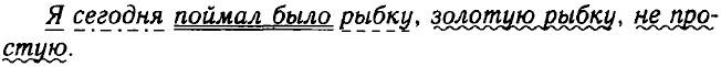
    1. Предложение повествовательное.
    2. Невосклицательное.
    3. Двусоставное (подлежащее — я, выражено личным местоимением, стоит в форме им. п.; сказуемое — поймал было — простое глагольное); распространённое; полное; осложнено обособленным приложением и определением.
    4. В конце повествовательного предложения ставится точка.

    1. Предложение повествовательное.
    2. Невосклицательное.
    3. Двусоставное (подлежащее — пятна, выражено именем существительным, стоит в форме им. п.; сказуемое — зеленели — простое глагольное); распространённое; полное; осложнено деепричастным оборотом и однородными членами.
    4. В конце повествовательного предложения ставится точка.

    1. Предложение повествовательное.
    2. Невосклицательное.
    3. Двусоставное (подлежащее — я, выражено личным местоимением, стоит в форме им. п.; сказуемое — не люблю — простое глагольное); распространённое; полное; неосложнённое.
    4. В конце повествовательного предложения ставится точка.

<<< К началу

 

 

???????@Mail.ru