Главная >> ГДЗ по русскому языку за 9 класс. Ладыженская

Основные группы сложноподчинённых предложений

Сложноподчинённые предложения с придаточными образа действия, меры, степени и сравнительными

Упр. 156

Упр. 157


Упр. 158

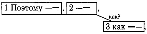
Атом водорода состоит из положительно заряженного ядра-протона и вращающегося вокруг него электрона, имеющего такой же заряд, но противоположного знака. Две частицы, обладающие разными по знаку зарядами, притягиваются друг к другу электростатической силой. Поэтому электрон не улетает от ядра, он вращается вокруг него, как вращается Земля вокруг Солнца, притягиваемая к нему силой гравитации.

    (К. Щёлкин.)

Это текст научного стиля, в нём много различных терминов, книжных оборотов, причастных оборотов — всё это характерно для научного стиля.

Сложноподчинённое предложение с придаточным сравнительным: Поэтому электрон не улетает от ядра, он вращается вокруг него, как вращается Земля вокруг Солнца, притягиваемая к нему силой гравитации.

Упр. 159 — устно.

Упр. 160 — устно.

Упр. 161

Более точно помогают нам представить действия аиста сравнительные обороты в предложениях 2, 3 и 4.

Упр. 162

Родничок

Из-под каменистого берега реки бьёт родник. В том месте река не заиливается, не зарастает, не образует омутов. Уже, наверное, сотни лет жители села берут из омутка воду, а обнажить родничок почему-то не додумались.

Вскрыли его приезжие охотники. Вырыли лунку, обложили камнем. Родничок наполнил лунку и потёк, как прежде, в реку. Теперь черпают воду из лунки, как из колодца.

    (И. Васильев.)

Сравнение как из колодца, является сравнительным оборотом.

Окончание >>>

 

 

???????@Mail.ru