Главная >> Геометрия 7—9 классы. Атанасян

§ 2. Признаки подобия треугольников

Первый признак подобия треугольников

Теорема

Если два угла одного треугольника соответственно равны двум углам другого, то такие треугольники подобны.

Доказательство

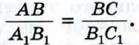
Пусть АВС и А1В1С1 — два треугольника, у которых ∠A = ∠A1, ∠B = ∠B1 (рис. 191). Докажем, что

По теореме о сумме углов треугольника ∠C = 180° - ∠A - ∠B, ∠C1 = 180° - ∠A1 - ∠B1, и, значит, ∠C = ∠C1. Таким образом, углы треугольника АВС соответственно равны углам треугольника А1В1С1.

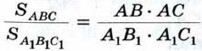
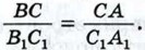
Докажем, что стороны треугольника АВС пропорциональны сходственным сторонам треугольника А1В1С1. Так как ∠A = ∠A1 и ∠C = ∠C1, то и (см. п. 53).

Из этих равенств следует, что Аналогично, используя равенства ∠A = ∠A1, ∠B = ∠B1, получаем

Итак, стороны треугольника АВС пропорциональны сходственным сторонам треугольника А1В1С1.

Теорема доказана.

 

 

???????@Mail.ru