Главная >> Геометрия 7—9 классы. Атанасян

§ 3. Применение подобия к доказательству теорем и решению задач

Синус, косинус и тангенс острого угла прямоугольного треугольника

Рассмотрим прямоугольный треугольник АВС с прямым углом С (рис. 206). Катет ВС этого треугольника является противолежащим углу А, а катет АС — прилежащим к этому углу.

    Синус

Синусом острого угла прямоугольного треугольника называется отношение противолежащего катета к гипотенузе.

Косинусом острого угла прямоугольного треугольника называется отношение прилежащего катета к гипотенузе.

Тангенсом острого угла прямоугольного треугольника называется отношение противолежащего катета к прилежащему катету.

Синус, косинус и тангенс угла, равного а, обозначаются символами sin α, cos α и tg α (читается: «синус альфа», «косинус альфа» и «тангенс альфа»). На рисунке 206

Из формул (1) и (2) получаем: Сравнивая с формулой (3), находим:

т. е. тангенс угла равен отношению синуса к косинусу этого угла.

Докажем, что если острый угол одного прямоугольного треугольника равен острому углу другого прямоугольного треугольника, то синусы этих углов равны, косинусы этих углов равны и тангенсы этих углов равны.

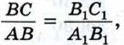
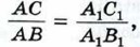
В самом деле, пусть АВС и А1В1С1 — два прямоугольных треугольника с прямыми углами С и С1 и равными острыми углами А и А1. Треугольники АВС и А1В1С1 подобны по первому признаку подобия треугольников, поэтому

Из этих равенств следует, что т. е. sin А = sin А1. Аналогично т. е. cos А = cos А1, и т. е. tg A = tg А1.

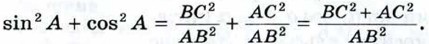
Докажем теперь справедливость равенства

Из формул (1) и (2) получаем

По теореме Пифагора ВС2 + АС2 = АВ2, поэтому sin2 А + cos2 А = 1.

Равенство (5) называется основным тригонометрическим тождеством1.

    1 Слово «тригонометрия» в переводе с греческого языка означает «измерение треугольников».

 

 

???????@Mail.ru