Главная >> Геометрия 7—9 классы. Атанасян

§ 4. Соотношения между сторонами и углами прямоугольного треугольника

Задачи к § 4. Соотношения между сторонами и углами прямоугольного треугольника

591. Найдите синус, косинус и тангенс углов А и В треугольника АВС с прямым углом С, если: а) ВС = 8, АВ = 17; б) ВС = 21, АС = 20; в) ВС = 1, АС = 2; г) АС =24, АВ = 25.

592. Постройте угол α, если: в) cos α = 0,2; e) sin α = 0,4.

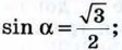
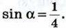
593. Найдите: a) sin α и tg α, если 6) sin α и tg α, если в) cos α и tg α, если r) cos α и tg α, если

594. В прямоугольном треугольнике один из катетов равен b, а противолежащий угол равен β. а) Выразите другой катет, противолежащий ему угол и гипотенузу через b и β. б) Найдите их значения, если b =10 см, β = 50°.

595. В прямоугольном треугольнике один из катетов равен b, а прилежащий к нему угол равен α. а) Выразите второй катет, прилежащий к нему острый угол и гипотенузу через b и α. б) Найдите их значения, если b = 12см, α = 42°.

596. В прямоугольном треугольнике гипотенуза равна с, а один из острых углов равен α. Выразите второй острый угол и катеты через с и α и найдите их значения, если с = 24 см, а α = 35°.

597. Катеты прямоугольного треугольника равны а и b. Выразите через а и b гипотенузу и тангенсы острых углов треугольника и найдите их значения при а = 12, b = 15.

598. Найдите площадь равнобедренного треугольника с углом а при основании, если: а) боковая сторона равна 6; б) основание равно а.

599. Найдите площадь равнобедренной трапеции с основаниями 2 см и 6 см, если угол при большем основании равен α.

600. Насыпь шоссейной дороги имеет в верхней части ширину 60 м. Какова ширина насыпи в нижней её части, если угол наклона откосов равен 60°, а высота насыпи равна 12 м (рис. 209)?

601. Найдите углы ромба с диагоналями 2√3 и 2.

602 Стороны прямоугольника равны 3 см и √3 см. Найдите углы, которые образует диагональ со сторонами прямоугольника.

603. В параллелограмме ABCD сторона AD равна 12 см, а угол BAD равен 47°50'. Найдите площадь параллелограмма, если его диагональ BD перпендикулярна к стороне АВ.

Ответы к задачам § 4. Соотношения между сторонами и углами прямоугольного треугольника

593.

594. б) ≈ 8,39 см, 40°, ≈ 13,05см.

595. б) ≈ 11 см, 48°, ≈ 16 см.

596. 90° - α, с sin α, с cos α; 55°, ≈ 14 см, ≈ 20 см.

597. ≈ 19, ≈ 38°39', ≈ 51°21'.

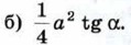
598. a) b2 sin α cos α;

599. 8 tg α cм2.

600. ≈ 74 м.

601. 60°, 120°, 60° и 120°.

602. 60° и 30°.

603. ≈ 72 см2.

 

 

???????@Mail.ru