Главная >> Геометрия 7—9 классы. Атанасян

§ 2. Центральные и вписанные углы

Теорема о вписанном угле

Угол, вершина которого лежит на окружности, а стороны пересекают, окружность, называется вписанным углом.

На рисунке 217 угол АВС вписанный, дуга АМС расположена внутри этого угла. В таком случае говорят, что вписанный угол АВС опирается на дугу АМС. Докажем теорему о вписанном угле.

Теорема

Вписанный угол измеряется половиной дуги, на которую он опирается.

Доказательство

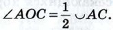
Пусть ∠ABC — вписанный угол окружности с центром О, опирающийся на дугу АС (рис. 218). Докажем, что Рассмотрим три возможных случая расположения луча ВО относительно угла АВС.

1) Луч ВО совпадает с одной из сторон угла АВС, например со стороной ВС (рис. 218, а). В этом случае дуга АС меньше полуокружности, поэтому ∠AOC = AC. Так как угол АОС — внешний угол равнобедренного треугольника АВО, а углы 1 и 2 при основании равнобедренного треугольника равны, то

    ∠AOC = ∠1 + ∠2 = 2∠1.

Отсюда следует, что

    2∠1 = AC или

2) Луч ВО делит угол АВС на два угла. В этом случае луч ВО пересекает дугу АС в некоторой точке D (рис. 218, б). Точка D разделяет дугу АС на две дуги: AD и DC. По доказанному в п. 1) Складывая эти равенства, получаем:

Окончание >>>

 

 

???????@Mail.ru