Главная >> Геометрия 7—9 классы. Атанасян

§ 2. Сложение и вычитание векторов

Вычитание векторов (окончание)

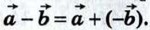
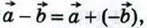
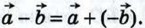
Докажем теперь теорему о разности двух векторов.

Теорема

Для любых векторов и справедливо равенство

Доказательство

По определению разности векторов Прибавив к обеим частям этого равенства вектор получим:

откуда

Теорема доказана.

Приведём теперь другое решение задачи о построении разности векторов и . Отметим на плоскости произвольную точку О и отложим от этой точки вектор (рис. 258). Затем от точки А отложим вектор По теореме о разности векторов поэтому т. е. вектор искомый.

<<< К началу

 

 

???????@Mail.ru